Suppr超能文献

一种基于PET/CT的新型列线图,用于预测淋巴结大小正常的肺腺癌的淋巴结转移情况。

A novel nomogram based on PET/CT to predict lymph nodal metastasis for lung adenocarcinoma with normal size lymph node.

作者信息

Zhu Xinyu, Jia Xinyu, Teng Shibing, Fu Kai, Chen Jiawei, Zhao Jun, Li Chang

机构信息

Department of Thoracic Surgery, The First Affiliated Hospital of Soochow University, Suzhou, 215006, China.

Institute of Thoracic Surgery, The First Affiliated Hospital of Soochow University, Suzhou, 215006, China.

出版信息

J Cardiothorac Surg. 2025 Apr 16;20(1):202. doi: 10.1186/s13019-025-03443-5.

Abstract

BACKGROUND

A precise assessment of lymph nodal status is essential for guiding an individualized treatment plan in lung adenocarcinoma patients. A novel nomogram using easily accessible indicators was developed and validated in this study to predict CT-negative lymph nodal metastasis.

METHODS

Between September 2020 and December 2023, data from 132 consecutive patients diagnosed with lung adenocarcinoma who underwent lung resection with systemic lymph node dissection or sampling were retrospectively reviewed. Risk factors associated with lymph nodal metastasis were identified using univariable and multivariable logistic regression analyses. Subsequently, a nomogram was developed on basis of these identified parameters. The performance and validity of the nomogram were evaluated using the area under the receiver operating characteristic (ROC) curve, calibration curve, and bootstrap resampling techniques.

RESULTS

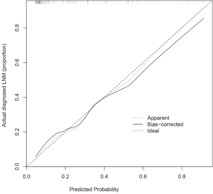
Four predictors (primary tumor location, primary tumor SUVmax value, N1 lymph node SUVmax, and N2 lymph node SUVmax) were identified and incorporated into the nomogram. The nomogram exhibited notable discrimination, evidenced by an area under the ROC curve of 0.825 (95% CI: 0.749-0.886, P < 0.001). Excellent concordance between the predicted and observed probabilities of lymph nodal involvement was demonstrated by the calibration curve. Furthermore, decision curve analysis indicated a net benefit associated with the use of our nomogram.

CONCLUSION

The nomogram demonstrated efficacy and practicality in predicting CT-negative lymph node metastasis for lung adenocarcinoma patients. It holds potential to offer valuable treatment guidance for clinicians.

摘要

背景

准确评估淋巴结状态对于指导肺腺癌患者的个体化治疗方案至关重要。本研究开发并验证了一种使用易于获取指标的新型列线图,以预测CT阴性淋巴结转移。

方法

回顾性分析2020年9月至2023年12月期间132例连续诊断为肺腺癌并接受肺切除及系统性淋巴结清扫或采样的患者的数据。采用单因素和多因素逻辑回归分析确定与淋巴结转移相关的危险因素。随后,基于这些确定的参数开发了列线图。使用受试者工作特征(ROC)曲线下面积、校准曲线和自助重采样技术评估列线图的性能和有效性。

结果

确定了四个预测因素(原发肿瘤位置、原发肿瘤SUVmax值、N1淋巴结SUVmax和N2淋巴结SUVmax)并纳入列线图。列线图表现出显著的区分能力,ROC曲线下面积为0.825(95%CI:0.749 - 0.886,P < 0.001)。校准曲线显示预测的和观察到的淋巴结受累概率之间具有良好的一致性。此外,决策曲线分析表明使用我们的列线图有净获益。

结论

该列线图在预测肺腺癌患者CT阴性淋巴结转移方面显示出有效性和实用性。它有可能为临床医生提供有价值的治疗指导。

https://cdn.ncbi.nlm.nih.gov/pmc/blobs/13d0/12001486/3289adfd1d08/13019_2025_3443_Fig1_HTML.jpg

文献AI研究员

20分钟写一篇综述,助力文献阅读效率提升50倍。

立即体验

用中文搜PubMed

大模型驱动的PubMed中文搜索引擎

马上搜索

文档翻译

学术文献翻译模型,支持多种主流文档格式。

立即体验