Suppr超能文献

metacp:一个用于合并相关或独立p值的多功能软件包。

metacp: a versatile software package for combining dependent or independent p-values.

作者信息

Nikolitsa Evgenia K, Kontou Panagiota I, Bagos Pantelis G

机构信息

Department of Computer Science and Biomedical Informatics, University of Thessaly, 35100, Lamia, Greece.

Department of Mathematics, University of Thessaly, 35100, Lamia, Greece.

出版信息

BMC Bioinformatics. 2025 Apr 19;26(1):109. doi: 10.1186/s12859-025-06126-z.

Abstract

BACKGROUND

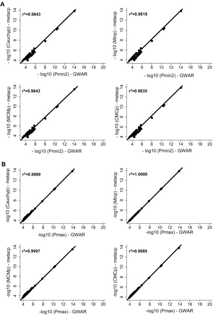
We present metacp an open-source software package which implements an abundance of statistical methods for the combination of both independent p-values, with methods such as Fisher's, Stouffer's and Edgington's, and dependent p-values, with methods such as Brown's method and the Cauchy Combination Test.

RESULTS

The tool is available in Python and STATA, it is very fast, and it is easy to use, requiring only minimal input. It offers a useful resource for combining both independent and dependent p-values, responding to diverse analytical needs for practitioners performing meta-analyses and bioinformaticians developing tools for a variety of applications. Depending on the input data it can be used for gene-based testing, for analysis of multiple traits in GWAS, or for combining diverse multi-omics data such as those of a TWAS, a colocalization or an RNA-seq study.

CONCLUSIONS

Compared to other similar packages (like poolr or metap), metacp implements the largest collection of statistical methods for this problem, offering users the flexibility to choose from a wide variety of approaches. Being available both as a standalone Python tool and as a STATA command, metacp is accessible to a broad and diverse audience, including practitioners conducting meta-analyses across various fields and bioinformaticians developing new tools where p-value combination is a crucial component.

摘要

背景

我们介绍了metacp,这是一个开源软件包,它实现了大量用于合并独立p值的统计方法,如Fisher方法、Stouffer方法和Edgington方法,以及用于合并相关p值的方法,如Brown方法和柯西组合检验。

结果

该工具以Python和STATA两种形式提供,速度非常快,且易于使用,只需要极少的输入。它为合并独立和相关p值提供了有用的资源,满足了进行荟萃分析的从业者和为各种应用开发工具的生物信息学家的不同分析需求。根据输入数据,它可用于基于基因的测试、全基因组关联研究中多种性状的分析,或用于合并不同的多组学数据,如全转录组关联研究、共定位或RNA测序研究的数据。

结论

与其他类似软件包(如poolr或metap)相比,metacp针对此问题实现了最大的统计方法集合,为用户提供了从多种方法中进行选择的灵活性。作为一个独立的Python工具和一个STATA命令,metacp可供广泛多样的用户使用,包括在各个领域进行荟萃分析的从业者以及开发新工具(其中p值合并是关键组成部分)的生物信息学家。

https://cdn.ncbi.nlm.nih.gov/pmc/blobs/fbcb/12008841/3c393dad3436/12859_2025_6126_Fig1_HTML.jpg

文献AI研究员

20分钟写一篇综述,助力文献阅读效率提升50倍。

立即体验

用中文搜PubMed

大模型驱动的PubMed中文搜索引擎

马上搜索

文档翻译

学术文献翻译模型,支持多种主流文档格式。

立即体验