Suppr超能文献

三阴性乳腺癌术后生存的预后因素分析及列线图构建

Analysis of prognostic factors and nomogram construction for postoperative survival of triple-negative breast cancer.

作者信息

Wang Chenxi, Zhao Xiangqian, Wang Dawei, Wu Jinyun, Lin Jizhen, Huang Weiwei, Shen Yangkun, Chen Qi

机构信息

Fujian Key Laboratory of Innate Immune Biology, Biomedical Research Center of South China, College of Life Science, Fujian Normal University, Fuzhou, Fujian, China.

The Cancer Center, Fujian Medical University Union Hospital, Fuzhou, Fujian, China.

出版信息

Front Immunol. 2025 Apr 7;16:1561563. doi: 10.3389/fimmu.2025.1561563. eCollection 2025.

Abstract

INTRODUCTION

Triple-negative breast cancer (TNBC) is a highly aggressive breast cancer subtype associated with poor prognosis and limited treatment options. This study utilized the SEER database to investigate clinicopathologic characteristics and prognostic factors in TNBC patients.

METHODS

Machine learning algorithms specifically Gradient Boosting Machines (XGBoost) and Random Forest classifiers were applied to develop survival prediction models and identify key prognostic markers.

RESULTS

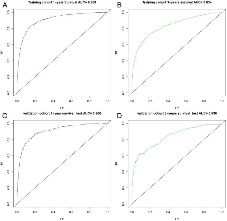
Results indicated significant predictors of survival, including tumor size, lymph node involvement, and distant metastases. Our proposed work showed better predictive performance, with a C-index of 0.8544 and AUC-ROC values of 0.9008 and 0.8344 for one year and three year overall survival predictions. Major predictors of survival comprises tumor size, HR is 3.657 for T4, lymph node involvement, HR is 3.018 for N3, distant metastases, HR is 1.743 for M1, and prior treatments includes surgery, HR is 0.298, chemotherapy, HR is 0.442, and radiotherapy, HR is 0.607.

DISCUSSION

The findings emphasize the clinical utility of AI-driven models in improving TNBC prognosis and guiding personalized treatment strategies. This study provides novel insights into the survival dynamics of TNBC patients and underscores the potential of predictive analytics in oncology.

摘要

引言

三阴性乳腺癌(TNBC)是一种侵袭性很强的乳腺癌亚型,预后较差且治疗选择有限。本研究利用监测、流行病学和最终结果(SEER)数据库调查TNBC患者的临床病理特征和预后因素。

方法

应用机器学习算法,特别是梯度提升机(XGBoost)和随机森林分类器来开发生存预测模型并识别关键预后标志物。

结果

结果表明生存的显著预测因素,包括肿瘤大小、淋巴结受累和远处转移。我们提出的工作显示出更好的预测性能,一年和三年总生存预测的C指数为0.8544,AUC-ROC值分别为0.9008和0.8344。生存的主要预测因素包括肿瘤大小,T4的风险比(HR)为3.657,淋巴结受累,N3的HR为3.018,远处转移,M1的HR为1.743,既往治疗包括手术,HR为0.298,化疗,HR为0.442,放疗,HR为0.607。

讨论

研究结果强调了人工智能驱动模型在改善TNBC预后和指导个性化治疗策略方面的临床实用性。本研究为TNBC患者的生存动态提供了新的见解,并强调了肿瘤学中预测分析的潜力。

https://cdn.ncbi.nlm.nih.gov/pmc/blobs/39a8/12009703/bb1cd384457b/fimmu-16-1561563-g001.jpg

文献AI研究员

20分钟写一篇综述,助力文献阅读效率提升50倍。

立即体验

用中文搜PubMed

大模型驱动的PubMed中文搜索引擎

马上搜索

文档翻译

学术文献翻译模型,支持多种主流文档格式。

立即体验