Suppr超能文献

不同年龄组中皮肤晚期糖基化终产物与弗雷明汉心血管风险之间的关联。

The associations between skin advanced glycation end-products and Framingham cardiovascular risk in different age groups.

作者信息

Wang Yina, Liang Shangyan, Zhou Ying, Tang Xiumei, Ye Na, Huang Weilan, Tang Xixiang, Jiang Boxiong, Pan Yunfeng

机构信息

Department of VIP Medical Service Center, Third Affiliated Hospital of Sun Yat-sen University, Guangzhou, Guangdong, China.

Department of Health Management Center, Third Affiliated Hospital of Sun Yat-sen University, Guangzhou, Guangdong, China.

出版信息

Front Cardiovasc Med. 2025 Apr 8;12:1491643. doi: 10.3389/fcvm.2025.1491643. eCollection 2025.

Abstract

OBJECTIVE

Advanced glycation end-products (AGEs) may contribute to the pathogenesis of atherosclerotic cardiovascular disease (ASCVD), potentially influencing its development and progression differently at various life stages. This study aimed to elucidate the associations between AGEs and the risk of ASCVD across different age groups.

METHODS

In this cross-sectional study, 1,240 subjects were enrolled and divided into three groups (Group Ⅰ, 20-39 years old,  = 468; Group Ⅱ, 40-59 years old,  = 471; Group Ⅲ, 60-79 years old,  = 301). Skin AGEs were measured by skin autofluorescence (SAF). ASCVD risk was assessed by a validated Framingham risk score calculator. Other proven ASCVD risk factors were also measured, including glycosylated hemoglobin, uric acid, lipid profile, homocysteine, and cystatin C.

RESULTS

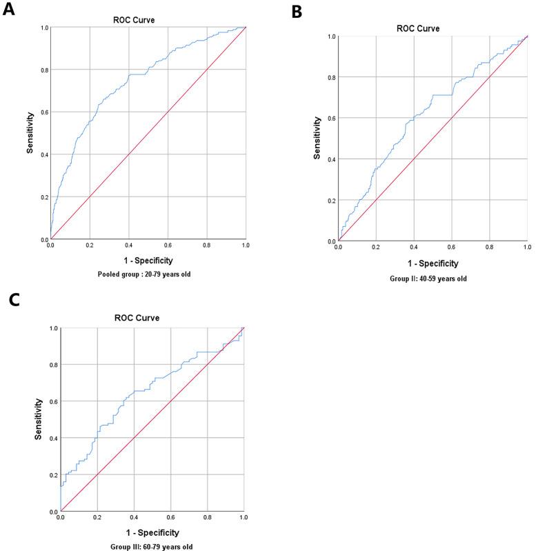
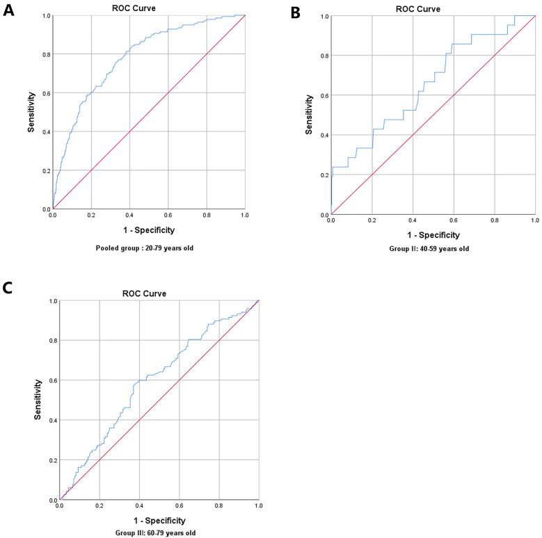
An increasing trend in skin AGEs was observed from Group Ⅰ to Group Ⅲ. Skin AGEs were significantly associated with ASCVD risk in all subjects (OR 1.029, 95% CI 1.003-1.056,  = 0.018), independent of some of the proven cardiovascular risk factors. This association was particularly significant in individuals aged 40-59 and 60-79 (OR = 1.047, 95% CI: 1.025-1.069; OR = 1.022, 95% CI: 1.002-1.042; both  < 0.05). ROC analysis showed that skin AGEs predicted the diagnosis of medium or high ASCVD risk in the pooled group, Group Ⅱ, and Group Ⅲ.

CONCLUSION

Our study substantiates that skin AGEs play an important role as an independent risk factor for ASCVD, highlighting their significance beyond traditional risk assessment models, particularly in middle-aged and older populations.

摘要

目的

晚期糖基化终产物(AGEs)可能参与动脉粥样硬化性心血管疾病(ASCVD)的发病机制,在不同生命阶段可能对其发展和进程产生不同影响。本研究旨在阐明AGEs与不同年龄组ASCVD风险之间的关联。

方法

在这项横断面研究中,招募了1240名受试者并分为三组(Ⅰ组,20 - 39岁,n = 468;Ⅱ组,40 - 59岁,n = 471;Ⅲ组,60 - 79岁,n = 301)。通过皮肤自发荧光(SAF)测量皮肤AGEs。使用经过验证的弗明汉风险评分计算器评估ASCVD风险。还测量了其他已证实的ASCVD风险因素,包括糖化血红蛋白、尿酸、血脂谱、同型半胱氨酸和胱抑素C。

结果

从Ⅰ组到Ⅲ组观察到皮肤AGEs呈上升趋势。在所有受试者中,皮肤AGEs与ASCVD风险显著相关(OR 1.029,95%CI 1.003 - 1.056,P = 0.018),独立于一些已证实的心血管风险因素。这种关联在40 - 59岁和60 - 79岁个体中尤为显著(OR = 1.047,95%CI:1.025 - 1.069;OR = 1.022,95%CI:1.002 - 1.042;两者P < 0.05)。ROC分析表明,皮肤AGEs可预测合并组、Ⅱ组和Ⅲ组中ASCVD中高风险的诊断。

结论

我们的研究证实皮肤AGEs作为ASCVD的独立风险因素发挥重要作用,突出了其在传统风险评估模型之外的重要性,特别是在中年和老年人群中。

https://cdn.ncbi.nlm.nih.gov/pmc/blobs/09d6/12011794/1f650d6723da/fcvm-12-1491643-g001.jpg

文献AI研究员

20分钟写一篇综述,助力文献阅读效率提升50倍。

立即体验

用中文搜PubMed

大模型驱动的PubMed中文搜索引擎

马上搜索

文档翻译

学术文献翻译模型,支持多种主流文档格式。

立即体验