Suppr超能文献

英国生物银行中绝经后女性甘油三酯-葡萄糖相关指标、遗传风险与乳腺癌发病之间的关联

Association between triglyceride-glucose related indicators, genetic risk, and incident breast cancer among postmenopausal women in UK Biobank.

作者信息

Li Zhen, Zhao Zengle, Zhang Tongchao, Yang Xiaorong, Chen Hao, Yin Xiaolin, Bai Hao, Liu Xinjie, Chang Tongmin, Zhang Yuan, Lu Ming

机构信息

Department of Epidemiology and Health Statistics, School of Public Health, Cheeloo College of Medicine, Shandong University, 107 Wenhua West Road, Jinan, Shandong, 250012, China.

Clinical Epidemiology Unit, Qilu Hospital of Shandong University, Jinan, China.

出版信息

BMC Cancer. 2025 Apr 25;25(1):781. doi: 10.1186/s12885-025-13970-y.

Abstract

BACKGROUND

The potential links between triglyceride-glucose (TyG) related indicators and breast cancer incidence after menopause have been less well studied, and the joint associations between genetic risk, TyG related indicators, and breast cancer are unknown.

METHODS

Simple surrogate indicators of insulin resistance including TyG, TyG-waist circumference (TyG-WC), TyG-waist to height ratio (TyG-WHtR), TyG-waist to hip ratio (TyG-WHR), TyG-body mass index (TyG-BMI). Genetic susceptibility in breast cancer was estimated by categorizing polygenic risk scores (PRS). For estimating the associations, we used Cox proportional hazards regression modeling. Correlation shapes were evaluated using restricted cubic splines (RCS). Mediation analyses for assessing the role of sex hormone-binding globulin (SHBG), C-reactive protein (CRP), testosterone, and glycosylated hemoglobin (HbA1c) in mediating the associations were conducted.

RESULTS

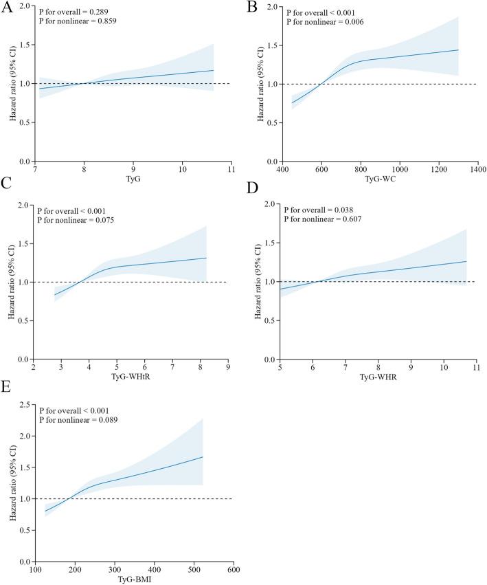
The study included 83,873 UK biobank participants who were followed for a median of 13.8 years, with 3,561 new cases of postmenopausal breast cancer. Genetic risk and TyG related indicators were monotonically related to breast cancer, with additive but not multiplicative interactions between them. The highest quartiles of TyG, TyG-WC, TyG-WHtR, TyG-WHR, and TyG-BMI were significantly associated with increased breast cancer risk with hazard ratio (95% confidence interval) were 1.12 (1.01-1.25), 1.35 (1.23-1.49), 1.16 (1.05-1.28), 1.22(1.12-1.33), and 1.31 (1.19-1.44), respectively. TyG-WC was nonlinearly linked to breast cancer (P for nonlinear = 0.006). Individuals with high genetic risk and high TyG related indicators exhibited a substantially elevated breast cancer risk by 4- to 5-fold compared with reference group. The associations were mainly mediated by SHBG, CRP, and testosterone, with mediation proportions ranging from 10.24% to 68.29%.

CONCLUSIONS

TyG related factors are linked to incident postmenopausal breast cancer, and the combined effects with genetic risk significantly optimize risk stratification. High levels of TyG related indicators may amplify the influence of genetic factors on postmenopausal breast cancer.

TRIAL REGISTRATION

Not applicable.

摘要

背景

甘油三酯-葡萄糖(TyG)相关指标与绝经后乳腺癌发病率之间的潜在联系研究较少,且遗传风险、TyG相关指标与乳腺癌之间的联合关联尚不清楚。

方法

胰岛素抵抗的简单替代指标包括TyG、TyG-腰围(TyG-WC)、TyG-腰高比(TyG-WHtR)、TyG-腰臀比(TyG-WHR)、TyG-体重指数(TyG-BMI)。通过对多基因风险评分(PRS)进行分类来估计乳腺癌的遗传易感性。为了估计关联,我们使用Cox比例风险回归模型。使用受限立方样条(RCS)评估关联形状。进行中介分析以评估性激素结合球蛋白(SHBG)、C反应蛋白(CRP)、睾酮和糖化血红蛋白(HbA1c)在介导关联中的作用。

结果

该研究纳入了83873名英国生物银行参与者,他们的中位随访时间为13.8年,有3561例绝经后乳腺癌新病例。遗传风险和TyG相关指标与乳腺癌呈单调相关,它们之间存在相加而非相乘的相互作用。TyG、TyG-WC、TyG-WHtR、TyG-WHR和TyG-BMI的最高四分位数与乳腺癌风险增加显著相关,风险比(95%置信区间)分别为1.12(1.01-1.25)、1.35(1.23-1.49)、1.16(1.05-1.28)、1.22(1.12-1.33)和1.31(1.19-1.44)。TyG-WC与乳腺癌呈非线性关联(非线性P=0.006)。与参照组相比,具有高遗传风险和高TyG相关指标的个体患乳腺癌的风险显著升高4至5倍。这些关联主要由SHBG、CRP和睾酮介导,中介比例范围为10.24%至68.29%。

结论

TyG相关因素与绝经后乳腺癌的发生有关,与遗传风险的联合作用显著优化了风险分层。高水平的TyG相关指标可能会放大遗传因素对绝经后乳腺癌的影响。

试验注册

不适用。

https://cdn.ncbi.nlm.nih.gov/pmc/blobs/d133/12032665/25cd2f40e1ce/12885_2025_13970_Fig1_HTML.jpg

文献AI研究员

20分钟写一篇综述,助力文献阅读效率提升50倍。

立即体验

用中文搜PubMed

大模型驱动的PubMed中文搜索引擎

马上搜索

文档翻译

学术文献翻译模型,支持多种主流文档格式。

立即体验