Suppr超能文献

基于生理学的布洛芬生物药剂学建模:确定关键制剂参数及虚拟生物等效性评估

Physiologically-Based Biopharmaceutics Modeling for Ibuprofen: Identifying Key Formulation Parameter and Virtual Bioequivalence Assessment.

作者信息

Zarzoso-Foj Javier, Cuquerella-Gilabert Marina, Merino-Sanjuan Matilde, Reig-Lopez Javier, Mangas-Sanjuán Víctor, Garcia-Arieta Alfredo

机构信息

Department of Pharmacy and Pharmaceutical Technology and Parasitology, University of Valencia, 46010 Valencia, Spain.

Interuniversity Research Institute for Molecular Recognition and Technological Development, Polytechnic University of Valencia, University of Valencia, 46100 Valencia, Spain.

出版信息

Pharmaceutics. 2025 Mar 24;17(4):408. doi: 10.3390/pharmaceutics17040408.

Abstract

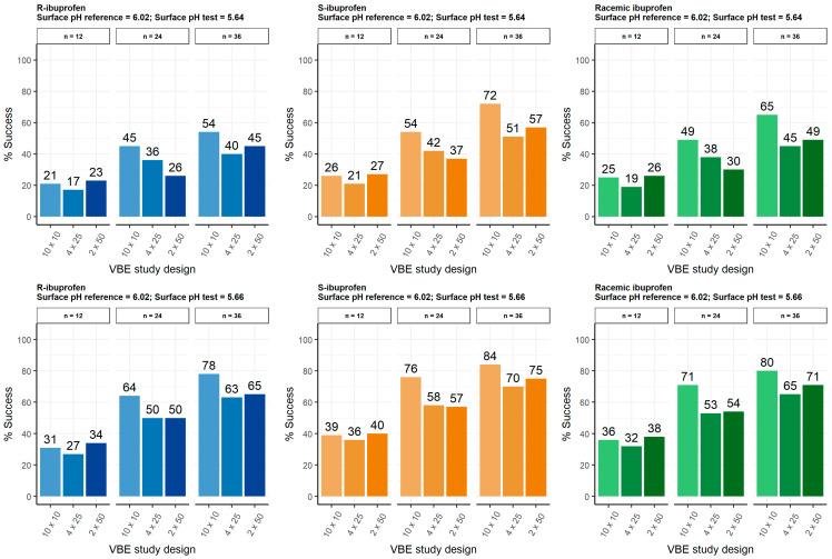
: Physiologically based pharmacokinetic (PBPK) modeling for biopharmaceutics applications (i.e., physiologically based biopharmaceutics modeling (PBBM)) enables mechanistic modeling from dissolution to absorption and disposition, facilitating the prediction of bioequivalence (BE) outcomes and the delimitation of the safe space. This study aims to identify the product-related parameter driving ibuprofen dissolution to upgrade an existing PBPK model, so that an in vitro safe space and virtual BE (VBE) predictions of IR ibuprofen tablets can be performed. : C within- and between-subject variabilities of a previous PBPK model were optimized after identifying crucial physiological parameters for ibuprofen absorption and disposition. In vitro data modeling was performed to estimate the value of the parameter driving ibuprofen dissolution. A safe space was defined for this parameter and the sample size to declare BE was calculated. Finally, VBE simulations were performed to explore the effect of sample size as well as number of trial replicates and runs. : C variability was adequately predicted after changing V and MRT in stomach and small intestine CV (%) to 10 and 150%, respectively. Particle surface pH was identified as the dissolution key parameter for ibuprofen. A safe space for test product surface pH values of 5.64-6.40 was defined in order to achieve a 90%CI for the C ratio within the 80-125% range when the reference product surface pH is 6.02. R-ibuprofen was identified as the most discriminative enantiomer. VBE studies with 24 individuals showed BE outcomes that are sensitive to the number of trial replicates and runs. : Ibuprofen particle surface pH has been identified as the in vitro parameter governing dissolution in maleate buffer 7 mM with HCl pH 2.0 pretreatment, allowing to establish an in vitro safe space useful for calculating sample sizes and to evaluate the BE success rate through PBBM/PBPK model-informed VBE simulations.

摘要

用于生物药剂学应用的基于生理的药代动力学(PBPK)建模(即基于生理的生物药剂学建模(PBBM))能够实现从溶解到吸收和处置的机制建模,有助于预测生物等效性(BE)结果并界定安全空间。本研究旨在确定驱动布洛芬溶解的产品相关参数,以升级现有的PBPK模型,从而能够对布洛芬红外片进行体外安全空间和虚拟生物等效性(VBE)预测。:在确定布洛芬吸收和处置的关键生理参数后,对先前PBPK模型的受试者内和受试者间变异性进行了优化。进行体外数据建模以估计驱动布洛芬溶解的参数值。为该参数定义了一个安全空间,并计算了申报BE所需的样本量。最后,进行VBE模拟以探索样本量以及试验重复次数和运行次数的影响。:分别将胃和小肠CV(%)中的V和MRT更改为10%和150%后,可充分预测变异性。颗粒表面pH被确定为布洛芬的溶解关键参数。定义了测试产品表面pH值为5.64 - 6.40的安全空间,以便在参比产品表面pH为6.02时,使C比的90%置信区间在80 - 125%范围内。R - 布洛芬被确定为最具鉴别力的对映体。对24名个体进行的VBE研究表明,BE结果对试验重复次数和运行次数敏感。:布洛芬颗粒表面pH已被确定为在含HCl pH 2.0预处理的7 mM马来酸盐缓冲液中控制溶解的体外参数,这有助于建立一个可用于计算样本量并通过PBBM/PBPK模型指导的VBE模拟评估BE成功率的体外安全空间。

https://cdn.ncbi.nlm.nih.gov/pmc/blobs/98e1/12030207/5d52f992acfe/pharmaceutics-17-00408-g001.jpg

文献AI研究员

20分钟写一篇综述,助力文献阅读效率提升50倍。

立即体验

用中文搜PubMed

大模型驱动的PubMed中文搜索引擎

马上搜索

文档翻译

学术文献翻译模型,支持多种主流文档格式。

立即体验