Suppr超能文献

亚种根提取物对动物疱疹病毒抗病毒活性的初步数据。

Preliminary Data on the Antiviral Activity of subsp. Root Extracts Against Animal Herpesviruses.

作者信息

Galluzzo Paola, Di Bella Santina, Migliore Sergio, Raimondi Maria Valeria, Bivacqua Roberta, Borgonovo Gigliola, Princiotto Salvatore, Girgenti Antonella, Palumbo Laura, Dara Salvatore, Guercio Annalisa, Alduina Rosa, Loria Guido Ruggero, Cannella Vincenza

机构信息

Istituto Zooprofilattico Sperimentale della Sicilia "A. Mirri", Via G. Marinuzzi 3, 90129 Palermo, Italy.

Dipartimento Scienze e Tecnologie Biologiche, Chimiche e Farmaceutiche, Viale delle Scienze, University of Palermo, 90133 Palermo, Italy.

出版信息

Microorganisms. 2025 Apr 12;13(4):891. doi: 10.3390/microorganisms13040891.

Abstract

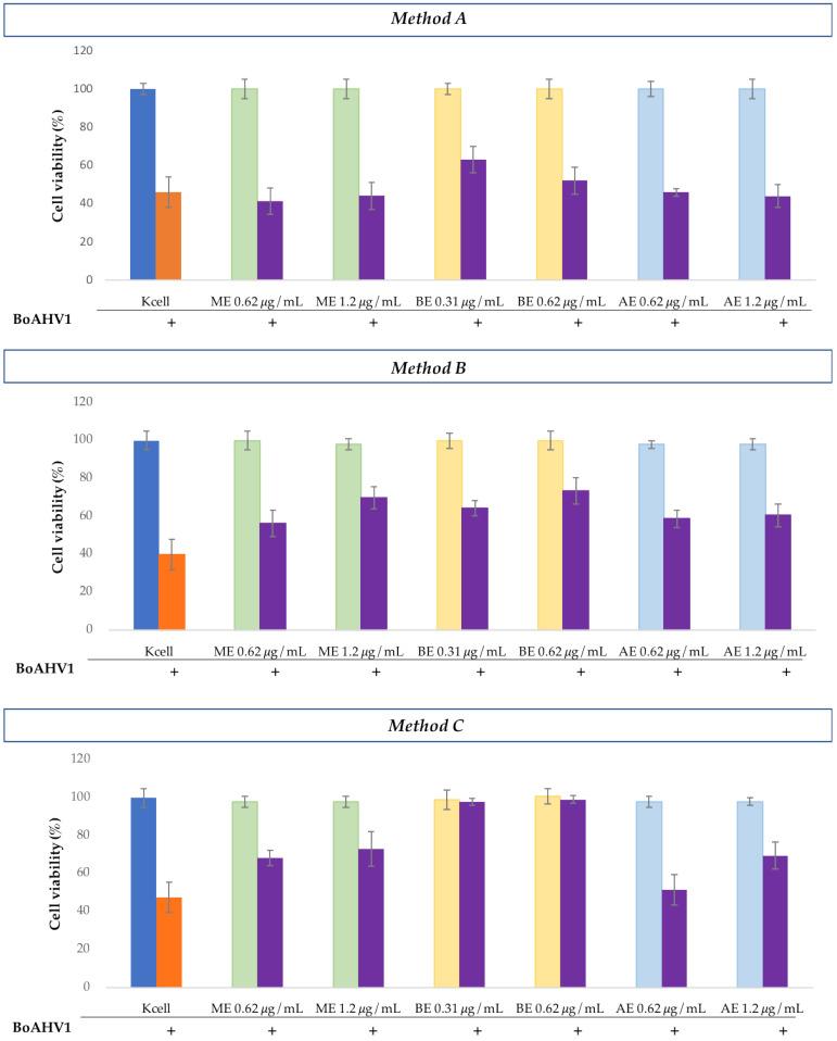
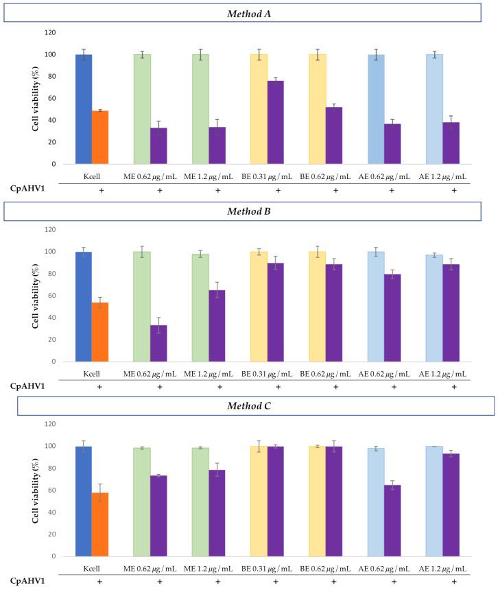
is a large family of enveloped DNA virus. Among the most significant animal-infecting viruses are bovine alphaherpesvirus 1 (BoAHV1), caprine alphaherpesvirus 1 (CpAHV1) and equid alphaherpesvirus 1 (EqAHV1). Research into new methods to combat herpesvirus infections is ongoing. The aim of this study was to evaluate the antiviral activity of three extracts of the roots against BoAHV1, CpAHV1 and EqAHV1. The roots were air-dried, extracted with methanol (MeOH) and then partitioned between -butanol (-BuOH) and water. All three extracts were tested for cytotoxicity on MDBK and RK-13 cells, and for antiviral activity. Two non-cytotoxic concentrations were assessed for their anti-BoAHV1, anti-CpAHV1 and anti-EqAHV1effects. Cells were incubated with the extracts for 72 h under three experimental conditions: pretreatment before viral infection, treatment post virus infection and simultaneous viral infection and treatment with extracts. The -BuOH extract (BE) at 0.62 µg/mL inhibited the cytopathic effects of all three viruses in the simultaneous assay. Additionally, no cytopathic effect was observed in MDBK cells infected with CpAHV1and treated with 0.31 µg/mL BE post virus infection. Therefore, the BE contains molecules or groups of molecules potentially useful for developing an alternative therapy against herpesvirus (HV) infection.

摘要

是一个大型的包膜DNA病毒家族。其中最重要的感染动物的病毒包括牛α疱疹病毒1型(BoAHV1)、山羊α疱疹病毒1型(CpAHV1)和马α疱疹病毒1型(EqAHV1)。针对对抗疱疹病毒感染新方法的研究正在进行中。本研究的目的是评估三种根提取物对BoAHV1、CpAHV1和EqAHV1的抗病毒活性。将根风干,用甲醇(MeOH)提取,然后在正丁醇(-BuOH)和水之间进行分配。对所有三种提取物进行了对MDBK和RK-13细胞的细胞毒性测试以及抗病毒活性测试。评估了两种无细胞毒性浓度对其抗BoAHV1、抗CpAHV1和抗EqAHV1的效果。在三种实验条件下,将细胞与提取物孵育72小时:病毒感染前预处理、病毒感染后处理以及病毒感染与提取物处理同时进行。在同时检测中,0.62μg/mL的正丁醇提取物(BE)抑制了所有三种病毒的细胞病变效应。此外,在感染CpAHV1并用0.31μg/mL BE在病毒感染后处理的MDBK细胞中未观察到细胞病变效应。因此,BE含有可能有助于开发对抗疱疹病毒(HV)感染替代疗法的分子或分子组。

https://cdn.ncbi.nlm.nih.gov/pmc/blobs/c200/12029677/b180972730d6/microorganisms-13-00891-g001.jpg

文献AI研究员

20分钟写一篇综述,助力文献阅读效率提升50倍。

立即体验

用中文搜PubMed

大模型驱动的PubMed中文搜索引擎

马上搜索

文档翻译

学术文献翻译模型,支持多种主流文档格式。

立即体验