Suppr超能文献

用于肌肉减少症治疗中递送HMB、NMN和L-亮氨酸的二棕榈酰磷脂酰胆碱脂质囊泡

Dipalmitoylphosphatidylcholine Lipid Vesicles for Delivering HMB, NMN, and L-Leucine in Sarcopenia Therapy.

作者信息

Najm Alfred, Bîrcă Alexandra Cătălina, Niculescu Adelina-Gabriela, Alberts Adina, Grumezescu Alexandru Mihai, Gălățeanu Bianca, Vasile Bogdan Ștefan, Beuran Mircea, Gaspar Bogdan Severus, Hudiță Ariana

机构信息

Carol Davila University of Medicine and Pharmacy, 8 Eroii Sanitari, Sector 5, 050474 Bucharest, Romania.

Emergency Hospital Floreasca Bucharest, 8 Calea Floreasca, Sector 1, 014461 Bucharest, Romania.

出版信息

Molecules. 2025 Mar 24;30(7):1437. doi: 10.3390/molecules30071437.

Abstract

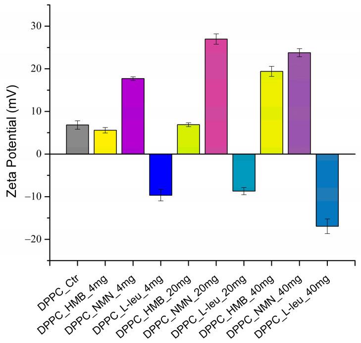
Sarcopenia, characterized by the degeneration of skeletal muscle tissue, has emerged as a significant concern in recent years. This increased awareness stems from advances in research focusing on elderly patients, which have revealed correlations between aging mechanisms and muscle degeneration, beyond the mere fact that tissues age and deteriorate over time. Consequently, the present study aims to address sarcopenia by developing and evaluating DPPC lipid vesicles that encapsulate three distinct drugs: HMB, NMN, and L-Leucine. These drugs are specifically selected for their properties, which facilitate effective interaction with the affected muscle tissue, thereby promoting desired therapeutic effects. Preliminary physicochemical analyses indicate the successful formation of spherical lipid vesicles, characterized by nanometric dimensions and stable membrane integrity. The biological investigations aimed to highlight the potential of DPPC lipid vesicles encapsulating HMB, NMN, and L-Leucine to alleviate sarcopenia-induced cytotoxicity and oxidative stress. Through a comparative evaluation of the three drug formulations, we demonstrate that drug-loaded DPPC vesicles effectively mitigate oxidative damage, preserve mitochondrial function, and maintain cytoskeletal integrity in HO-induced C2C12 myotubes, with HMB-loaded vesicles showing the strongest protective effects against muscle degeneration. These findings underscore the therapeutic potential of DPPC-based controlled release systems for sarcopenia treatment and highlight the need for further investigations into their mechanistic role in muscle preservation.

摘要

肌肉减少症以骨骼肌组织退化为特征,近年来已成为一个重大问题。这种关注度的提高源于针对老年患者的研究进展,这些研究揭示了衰老机制与肌肉退化之间的关联,而不仅仅是组织随着时间的推移而老化和恶化这一事实。因此,本研究旨在通过开发和评估包裹三种不同药物(HMB、NMN和L-亮氨酸)的二棕榈酰磷脂酰胆碱(DPPC)脂质体来解决肌肉减少症问题。选择这些药物是因其特性有助于与受影响的肌肉组织有效相互作用,从而促进预期的治疗效果。初步的物理化学分析表明成功形成了球形脂质体,其特征为纳米尺寸和稳定的膜完整性。生物学研究旨在突出包裹HMB、NMN和L-亮氨酸的DPPC脂质体减轻肌肉减少症诱导的细胞毒性和氧化应激的潜力。通过对三种药物制剂的比较评估,我们证明载药的DPPC囊泡能有效减轻氧化损伤、保留线粒体功能并维持HO诱导的C2C12肌管中的细胞骨架完整性,其中载有HMB的囊泡对肌肉退化显示出最强的保护作用。这些发现强调了基于DPPC的控释系统在治疗肌肉减少症方面的治疗潜力,并突出了进一步研究其在肌肉保护中的作用机制的必要性。

https://cdn.ncbi.nlm.nih.gov/pmc/blobs/3e05/11990474/7211811807f6/molecules-30-01437-g001.jpg

文献AI研究员

20分钟写一篇综述,助力文献阅读效率提升50倍。

立即体验

用中文搜PubMed

大模型驱动的PubMed中文搜索引擎

马上搜索

文档翻译

学术文献翻译模型,支持多种主流文档格式。

立即体验