Suppr超能文献

矢车菊素-3-葡萄糖苷通过调节钙稳态和抑制线粒体功能障碍减轻淀粉样β蛋白(1-42)诱导的SH-SY5Y细胞凋亡。

Cyanidin-3--Glucoside Mitigates Amyloid-Beta (1-42)-Induced Apoptosis in SH-SY5Y Cells by Regulating Ca Homeostasis and Inhibiting Mitochondrial Dysfunction.

作者信息

Ma Chao, Nie Yu, Zhang Donglei, Ran Lulu, Xu Su, Ran Xun, Huang Junya, Meng Lingshuai

机构信息

College of Materials Science and Engineering, Guiyang University, Guiyang 550005, China.

College of Food Science and Engineering, Guiyang University, Guiyang 550005, China.

出版信息

Antioxidants (Basel). 2025 Apr 18;14(4):490. doi: 10.3390/antiox14040490.

Abstract

BACKGROUND

Blueberry anthocyanin such as Cyanidin-3--glucoside may help prevent Alzheimer's disease. We aimed to investigate the preventive and therapeutic effects of Cyanidin-3--glucoside against Aβ-induced apoptosis of SH-SY5Y cells as well as the underlying mechanisms.

METHODS

Cell viability and intracellular and mitochondrial reactive oxygen species were detected by MTT, a reactive oxygen species detection kit, and a MitoSOX red mitochondrial superoxide indicator. The mitochondrial membrane potential, intracellular calcium ion content, and adenotriphophate (ATP) were identified via a mitochondrial membrane potential detection kit, calcium ion detection kit, and ATP detection kit, and apoptosis was detected via flow cytometry. Transcription of apoptosis-related genes was detected using real-time fluorescence quantitative polymerase chain reaction, and expression of apoptosis-related proteins was identified using Western blot.

RESULTS

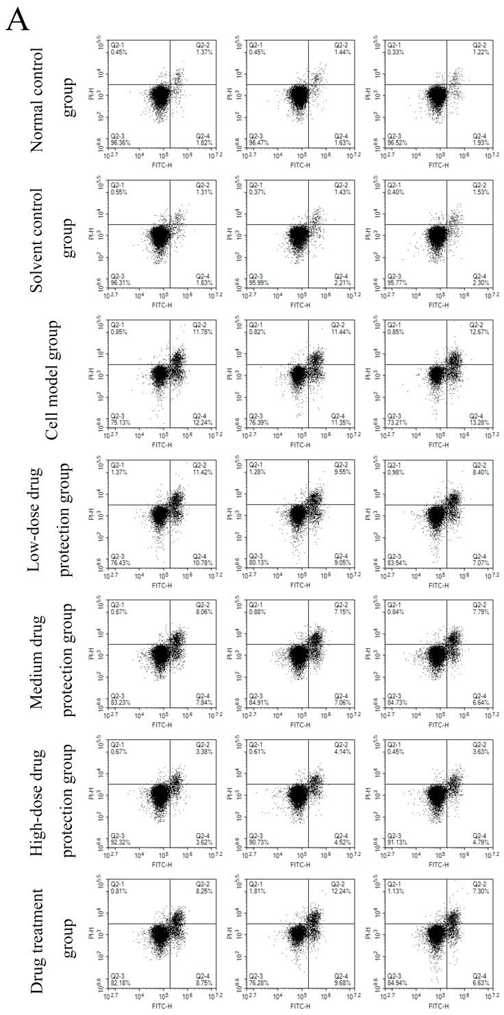
We found that Cyanidin-3--glucoside could downregulate the expression of cytochrome c, caspase 9, caspase 3, and other genes and proteins, which consequently reduced the rate of apoptosis. Additionally, it could upregulate Bcl-2 gene and protein expression, downregulate Bax gene and protein expression, regulate mitochondrial membrane permeability and calcium-release channels, reduce calcium influx into mitochondria, maintain intracellular calcium ion levels, reduce intracellular levels of reactive oxygen species and increase ATP levels, maintain the mitochondrial membrane potential at a normal level, maintain normal mitochondrial functioning, and prevent apoptosis.

DISCUSSION

Taken together, Cyanidin-3--glucoside showed dose-dependent preventive and therapeutic effects against Aβ-induced apoptosis of SH-SY5Y cells.

CONCLUSIONS

Cyanidin 3--glucoside showed a better preventive effect than therapeutic effect against Aβ-induced apoptosis in SH-SY5Y cells.

摘要

背景

蓝莓花青素如矢车菊素-3-葡萄糖苷可能有助于预防阿尔茨海默病。我们旨在研究矢车菊素-3-葡萄糖苷对Aβ诱导的SH-SY5Y细胞凋亡的预防和治疗作用及其潜在机制。

方法

通过MTT、活性氧检测试剂盒和MitoSOX红线粒体超氧化物指示剂检测细胞活力以及细胞内和线粒体内的活性氧。通过线粒体膜电位检测试剂盒、钙离子检测试剂盒和ATP检测试剂盒鉴定线粒体膜电位、细胞内钙离子含量和三磷酸腺苷(ATP),并通过流式细胞术检测细胞凋亡。使用实时荧光定量聚合酶链反应检测凋亡相关基因的转录,使用蛋白质免疫印迹法鉴定凋亡相关蛋白的表达。

结果

我们发现矢车菊素-3-葡萄糖苷可下调细胞色素c、半胱天冬酶9、半胱天冬酶3等基因和蛋白的表达,从而降低细胞凋亡率。此外,它可上调Bcl-2基因和蛋白表达,下调Bax基因和蛋白表达,调节线粒体膜通透性和钙释放通道,减少钙流入线粒体,维持细胞内钙离子水平,降低细胞内活性氧水平并增加ATP水平,将线粒体膜电位维持在正常水平,维持线粒体正常功能并防止细胞凋亡。

讨论

综上所述,矢车菊素-3-葡萄糖苷对Aβ诱导的SH-SY5Y细胞凋亡具有剂量依赖性的预防和治疗作用。

结论

矢车菊素-3-葡萄糖苷对SH-SY5Y细胞中Aβ诱导的细胞凋亡的预防作用优于治疗作用。

https://cdn.ncbi.nlm.nih.gov/pmc/blobs/ae1f/12024176/10b93a5c50df/antioxidants-14-00490-g001.jpg

文献AI研究员

20分钟写一篇综述,助力文献阅读效率提升50倍。

立即体验

用中文搜PubMed

大模型驱动的PubMed中文搜索引擎

马上搜索

文档翻译

学术文献翻译模型,支持多种主流文档格式。

立即体验