Suppr超能文献

在存在有机污染物的情况下改进对环境样本的非洲猪瘟检测

Improved African Swine Fever Detection for Environmental Samples in the Presence of Organic Contaminants.

作者信息

Kwon Taeyong, Gebhardt Jordan T, Lyoo Eu Lim, Gaudreault Natasha N, Trujillo Jessie D, Woodworth Jason C, Paulk Chad B, Jones Cassandra K, Richt Juergen A

机构信息

Department of Diagnostic Medicine/Pathobiology, College of Veterinary Medicine, Kansas State University, Manhattan, Kansas 66506, USA.

Department of Animal Sciences and Industry, College of Agriculture, Kansas State University, Manhattan, Kansas 66506, USA.

出版信息

Transbound Emerg Dis. 2024 Dec 31;2024:8841168. doi: 10.1155/tbed/8841168. eCollection 2024.

Abstract

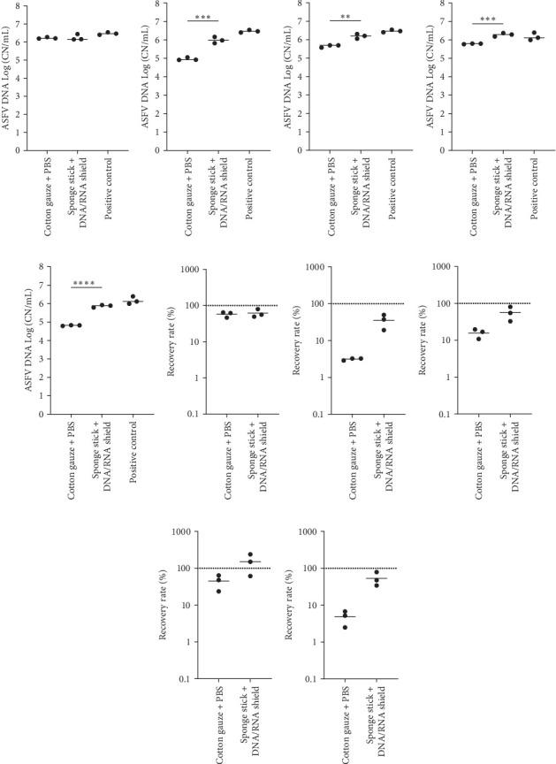
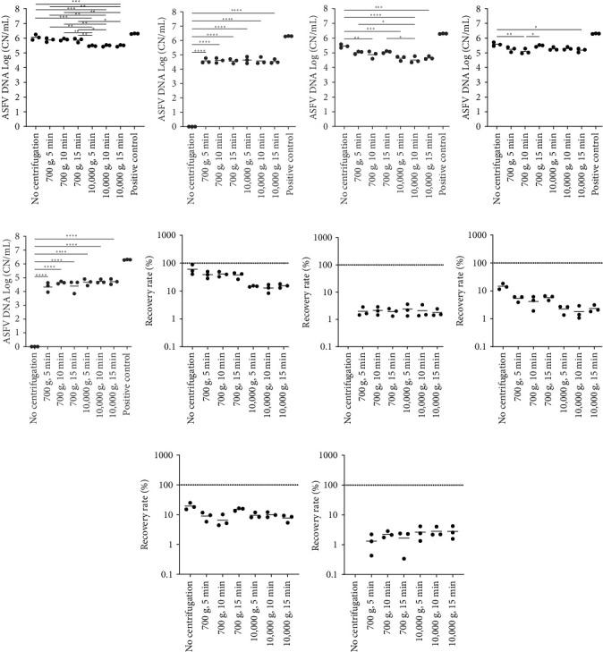
Geographical expansion and trans-continental transmission of the African swine fever virus (ASFV) pose a significant risk to the global swine industry due to its high impact on swine health and agro-economy. Several different modes of ASFV transmission make it difficult to predict and prevent ASFV introduction to the free area and its spread in the affected area. Indirect transmission through contaminated surfaces could be one of the possible routes to introduce ASFV to the United States due to its high resistance on environmental surfaces and the frequency of international movements. However, there is limited knowledge about environmental samples for ASFV surveillance, when compared to clinical samples from infected pigs. Therefore, the aim of this study was to develop methods for better detection of ASFV DNA in the presence of four different types of organic contaminants: soil, swine feces, feed dust, and their mixture. The presence of organic contaminants negatively affected the sensitivity of ASFV DNA detection. Centrifugation and filtration were crucial for ASFV detection in environmental samples with soil and mixture, whereas filtration reduced the sensitivity of ASFV DNA detection in samples from clean surfaces and swine feces- and feed dust-contaminated surfaces. Detection of ASFV was significantly improved when sampled by the sponge stick with DNA/RNA shield when compared to the cost-effective sampling strategy, the cotton gauze with phosphate-buffered saline. These findings highlight the effect of organic contaminants and the use of the nucleic acid stabilization buffer on ASFV diagnostic performance and provide important background for ASFV preparedness.

摘要

非洲猪瘟病毒(ASFV)的地理扩张和跨大陆传播对全球养猪业构成重大风险,因为它对猪的健康和农业经济有很大影响。ASFV的几种不同传播方式使得预测和预防ASFV传入无疫地区及其在疫区的传播变得困难。由于ASFV在环境表面具有高抗性以及国际运输的频繁性,通过受污染表面的间接传播可能是ASFV传入美国的可能途径之一。然而,与来自感染猪的临床样本相比,关于用于ASFV监测的环境样本的知识有限。因此,本研究的目的是开发在存在四种不同类型有机污染物(土壤、猪粪便、饲料粉尘及其混合物)的情况下更好地检测ASFV DNA的方法。有机污染物的存在对ASFV DNA检测的灵敏度有负面影响。离心和过滤对于检测含有土壤和混合物的环境样本中的ASFV至关重要,而过滤降低了在清洁表面以及受猪粪便和饲料粉尘污染表面的样本中ASFV DNA检测的灵敏度。与具有成本效益的采样策略(用磷酸盐缓冲盐水的纱布)相比,当使用带有DNA/RNA保护剂的海绵棒采样时,ASFV的检测有显著改善。这些发现突出了有机污染物以及核酸稳定缓冲液对ASFV诊断性能的影响,并为ASFV防范提供了重要背景。

https://cdn.ncbi.nlm.nih.gov/pmc/blobs/bc30/12016804/a952556e1e77/TBED2024-8841168.001.jpg

文献AI研究员

20分钟写一篇综述,助力文献阅读效率提升50倍。

立即体验

用中文搜PubMed

大模型驱动的PubMed中文搜索引擎

马上搜索

文档翻译

学术文献翻译模型,支持多种主流文档格式。

立即体验