Suppr超能文献

美国年轻成年人群感染性心内膜炎死亡率趋势:令人担忧的上升及其与药物滥用的关联。

Trends of infective endocarditis mortality in young adult population of US: A concerning rise and its association with substance abuse.

作者信息

Abdul Jabbar Ali Bin, Khan Daniyal Ali, Li-Jedras May, Kabach Amjad, Aboeata Ahmed

机构信息

Department of Medicine, Division of Internal Medicine, Creighton University School of Medicine, Omaha, NE, USA.

Aga Khan University Medical College, Karachi, Pakistan.

出版信息

Int J Cardiol Cardiovasc Risk Prev. 2025 Apr 15;25:200404. doi: 10.1016/j.ijcrp.2025.200404. eCollection 2025 Jun.

Abstract

BACKGROUND

Substance Abuse (SA) is associated with Infective Endocarditis (IE) morbidity and mortality in the young adult population of the US. However, limited data is available for trends and disparities related to IE mortality and its association with SA in the young adult US population.

METHODS

Data from the Centers for Disease Control and Prevention Wide-ranging Online Data for Epidemiologic Research were analyzed from 1999 to 2022 for IE and SA-IE-related mortality in young adults aged 15 to 44 in the US. Age-adjusted mortality rates (AAMR) per 1000,000 people were used to calculate annual percent changes (APC) using Joinpoint regression analysis. Trends were stratified by sex, race/ethnicity, age groups, census region, urbanization classification, and states.

RESULTS

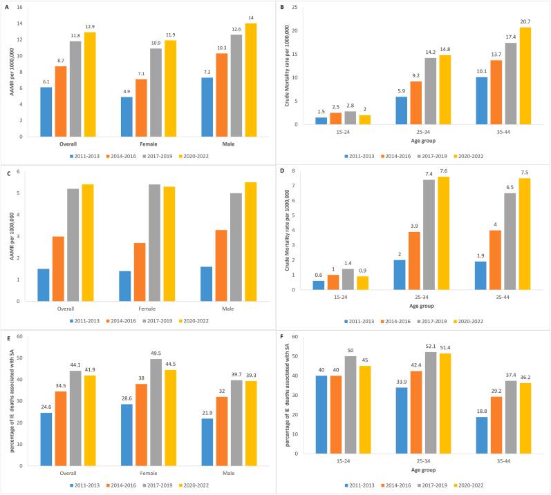
IE caused 22,614 deaths in the young adult population of the US between 1999 and 2022. 7235 (32.0 %) of these deaths were associated with SA. AAMR for IE-associated mortality initially decreased from 6.2 in 1999 to 4.7 in 2010. Following that it increased by almost 3 folds to reach 13.5 in 2020 and 2021. SA-IE followed a similar trend, increasing more than 5 folds from an AAMR of 1.0 in 2010 to 5.4 by 2018. Between 1999 and 2009, 15-22 % of all IE deaths were associated with SA annually, which increased to >40 % for 2016-2022. Men had higher AAMR for IE though women witnessed a bigger jump in SA-associated IE mortality. Non-Hispanic American Indian or Alaskan natives, South region, and rural population had a worse increase.

CONCLUSIONS

IE mortality in the young adult population of the US has increased from 2010 onwards with a concerning rise in SA and IE-associated deaths.

摘要

背景

在美国年轻成年人中,药物滥用(SA)与感染性心内膜炎(IE)的发病率和死亡率相关。然而,关于美国年轻成年人中IE死亡率及其与SA的关联的趋势和差异的数据有限。

方法

分析了疾病控制与预防中心的广泛在线流行病学研究数据,这些数据来自1999年至2022年美国15至44岁年轻成年人中与IE和SA-IE相关的死亡率。使用Joinpoint回归分析,以每10万人的年龄调整死亡率(AAMR)来计算年度百分比变化(APC)。趋势按性别、种族/族裔、年龄组、人口普查区域、城市化分类和州进行分层。

结果

1999年至2022年期间,IE在美国年轻成年人中导致22,614人死亡。其中7235人(32.0%)的死亡与SA相关。IE相关死亡率的AAMR最初从1999年的6.2降至2010年的4.7。此后,该死亡率几乎增加了3倍,在2020年和2021年达到13.5。SA-IE也呈现类似趋势,从2010年的AAMR 1.0增加了5倍多,到2018年达到5.4。1999年至2009年期间,每年所有IE死亡中有15%-22%与SA相关,2016年至2022年这一比例增至40%以上。男性的IE AAMR较高,不过女性SA相关IE死亡率的增幅更大。非西班牙裔美国印第安人或阿拉斯加原住民、南部地区和农村人口的增长情况更糟。

结论

自2010年起,美国年轻成年人中的IE死亡率有所上升,SA和IE相关死亡人数令人担忧地增加。

https://cdn.ncbi.nlm.nih.gov/pmc/blobs/a5ef/12051656/cec98b6b5a00/gr1.jpg

文献AI研究员

20分钟写一篇综述,助力文献阅读效率提升50倍。

立即体验

用中文搜PubMed

大模型驱动的PubMed中文搜索引擎

马上搜索

文档翻译

学术文献翻译模型,支持多种主流文档格式。

立即体验