Suppr超能文献

新型抗氧化剂三酚衍生的酰肼-腙噻唑:采用实验和计算方法研究其与β-环糊精包合物的形成与分析

New Antioxidant Triphenol-Derived Hydrazide-Hydrazone Thiazole: Formation and Analysis of Inclusion Complex with β-CD Using Experimental and Computational Approaches.

作者信息

Pîrnău Adrian, Mic Mihaela, Floare Călin G, Oniga Ovidiu, Oniga Smaranda Dafina, Crișan Ovidiu, Vlase Laurian, Marc Gabriel

机构信息

National Institute for Research and Development of Isotopic and Molecular Technologies, 67-103 Donat, 400293 Cluj-Napoca, Romania.

Department of Pharmaceutical Chemistry, Faculty of Pharmacy, "Iuliu Hațieganu" University of Medicine and Pharmacy, 41 Victor Babeș Street, 400012 Cluj-Napoca, Romania.

出版信息

Molecules. 2025 Apr 19;30(8):1842. doi: 10.3390/molecules30081842.

Abstract

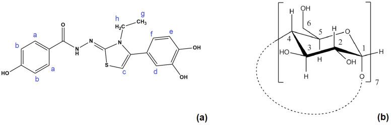
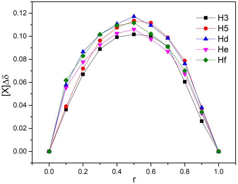
A new water-soluble not-colored antioxidant (Z)-N'-(4-(3,4-dihydroxyphenyl)-3-ethylthiazol-2(3H)-ylidene)-4-hydroxybenzohydrazide hydrochloride (DHTH) was obtained and characterized. The interaction between DHTH and β-CD was studied by experimental thermodynamic methods such as isothermal titration calorimetry (ITC) and H NMR spectroscopy and confirmed by in silico calculations. Thermodynamic data indicated that the inclusion process is driven by enthalpy, predominantly as a result of the guest-host hydrophobic interactions. H NMR measurements were applied to study the interaction with β-CD by changing the studied compound concentration in the solution. UV-vis titration and in vitro antiradical assay were performed, to study the antioxidant activity of DHTH, free and included in β-CD. A molecular docking study added supplementary insight to the experimental analyses regarding the binding conformation of the new polyphenolic compound to β-CD.

摘要

获得并表征了一种新型水溶性无色抗氧化剂(Z)-N'-(4-(3,4-二羟基苯基)-3-乙基噻唑-2(3H)-亚基)-4-羟基苯甲酰肼盐酸盐(DHTH)。通过等温滴定量热法(ITC)和核磁共振氢谱等实验热力学方法研究了DHTH与β-环糊精(β-CD)之间的相互作用,并通过计算机模拟计算得到了证实。热力学数据表明,包合过程是由焓驱动的,主要是由于客体-主体疏水相互作用。通过改变溶液中被研究化合物的浓度,利用核磁共振氢谱测量来研究与β-CD的相互作用。进行了紫外-可见滴定和体外抗自由基测定,以研究游离的和包合在β-CD中的DHTH的抗氧化活性。分子对接研究为有关新型多酚化合物与β-CD结合构象的实验分析提供了补充见解。

https://cdn.ncbi.nlm.nih.gov/pmc/blobs/5bcd/12029814/d69b79615c9f/molecules-30-01842-g001.jpg

文献AI研究员

20分钟写一篇综述,助力文献阅读效率提升50倍。

立即体验

用中文搜PubMed

大模型驱动的PubMed中文搜索引擎

马上搜索

文档翻译

学术文献翻译模型,支持多种主流文档格式。

立即体验