Suppr超能文献

β-酮腈作为有机化学中多功能中间体应用的最新进展。

Recent advances in the application of β-ketonitriles as multifunctional intermediates in organic chemistry.

作者信息

Rostampoor Azar, Alizadeh Abdolali

机构信息

Department of Chemistry, Tarbiat Modares University P. O. Box 14115-175 Tehran Iran

出版信息

RSC Adv. 2025 May 6;15(19):14558-14586. doi: 10.1039/d4ra07788a.

Abstract

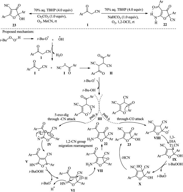
This review discusses the diverse applications of β-ketonitriles in organic synthesis, highlighting protocols that generate various compounds, including cyclic hydrocarbons, aromatic compounds, heterocycles, spirocycles, and fused heterocycles. These compounds serve as valuable building blocks for biologically active scaffolds like chromenes, quinolines, and natural products. It provides an overview of 69 research articles published from 2014 to 2023, focusing on reactions involving benzoyl acetonitrile derivatives and other β-ketonitriles. The methodologies include cascade, domino, and sequential reactions facilitated by different catalysts, showcasing the versatility of β-ketonitriles in organic chemistry.

摘要

本综述讨论了β-酮腈在有机合成中的多种应用,重点介绍了生成各种化合物的方法,包括环烃、芳香化合物、杂环、螺环和稠合杂环。这些化合物是色烯、喹啉等生物活性支架以及天然产物的重要构建单元。它概述了2014年至2023年发表的69篇研究文章,重点关注涉及苯甲酰基乙腈衍生物和其他β-酮腈的反应。这些方法包括由不同催化剂促进的串联、多米诺和顺序反应,展示了β-酮腈在有机化学中的多功能性。

https://cdn.ncbi.nlm.nih.gov/pmc/blobs/f1d0/12054486/ad64d3205ec6/d4ra07788a-s1.jpg

文献AI研究员

20分钟写一篇综述,助力文献阅读效率提升50倍。

立即体验

用中文搜PubMed

大模型驱动的PubMed中文搜索引擎

马上搜索

文档翻译

学术文献翻译模型,支持多种主流文档格式。

立即体验