Suppr超能文献

细菌肥料和土壤改良剂对北柴胡(Kom.)Kitag.生长及土壤微生物群的影响。

Effects of bacterial fertilizer and soil amendment on (Kom.) Kitag. growth and soil microbiota.

作者信息

Zou Yue, Zou Yan, Yang Baiming, Qiao Jianlei, Liu Shuang, Zhao Chunbo, Shi Kun, Yu Yue, Li Shuang, Chen Shanshan

机构信息

College of Horticulture, Jilin Agricultural University, Changchun, China.

Liaoyuan Sino-German Modern Agriculture Co., Ltd., Dongliao, China.

出版信息

Front Microbiol. 2025 Apr 25;16:1560982. doi: 10.3389/fmicb.2025.1560982. eCollection 2025.

Abstract

INTRODUCTION

(Kom.) Kitag. is a nutritious wild vegetable, but its quality deteriorates during artificial cultivation due to soil condition alterations. Microbial fertilizers and soil amendments hold promise for improving cultivation outcomes, yet their combined effects remain under - explored.

METHODS

A field experiment was conducted with seven treatments, including a control (CK) and six combinations of , , and earthworm polysaccharide. Plant samples were analyzed for yield, quality, and root architecture, while soil samples were tested for fertility and microbial community characteristics.

RESULTS

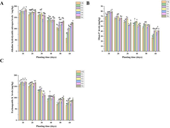
Treatments T3 (dual bacterial fertilizers) and T6 (dual bacterial fertilizers + soil amendment) significantly enhanced yield, nutritional quality, and root development. T6 also maintained high soil fertility and optimized the soil microbial community in terms of richness, diversity, and beneficial species abundance.

DISCUSSION

The positive effects of T3 and T6 are likely due to the synergy between the bacterial fertilizers and the soil amendment, which improves nutrient cycling, soil structure, and microbial functions. However, the study has limitations, such as the need for long - term research and more in - depth exploration of microbial functions.

摘要

引言

(Kom.)北紫堇是一种营养丰富的野生蔬菜,但由于土壤条件的改变,其在人工栽培过程中品质会下降。微生物肥料和土壤改良剂有望改善栽培效果,但其联合效应仍有待深入研究。

方法

进行了一项田间试验,设置了七个处理,包括一个对照(CK)以及六种微生物肥料、土壤改良剂和蚯蚓多糖的组合。对植物样本进行产量、品质和根系结构分析,同时对土壤样本进行肥力和微生物群落特征测试。

结果

处理T3(双菌肥)和T6(双菌肥 + 土壤改良剂)显著提高了产量、营养品质和根系发育。T6还保持了较高的土壤肥力,并在丰富度、多样性和有益物种丰度方面优化了土壤微生物群落。

讨论

T3和T6的积极作用可能归因于菌肥与土壤改良剂之间的协同作用,这种协同作用改善了养分循环、土壤结构和微生物功能。然而,该研究存在局限性,例如需要进行长期研究以及更深入地探索微生物功能。

https://cdn.ncbi.nlm.nih.gov/pmc/blobs/40e5/12061978/73353e81e2eb/fmicb-16-1560982-g001.jpg

文献AI研究员

20分钟写一篇综述,助力文献阅读效率提升50倍。

立即体验

用中文搜PubMed

大模型驱动的PubMed中文搜索引擎

马上搜索

文档翻译

学术文献翻译模型,支持多种主流文档格式。

立即体验