Suppr超能文献

急性心肌梗死后抑郁症状预测模型的构建及其对预后的影响。

Construction of a predictive model for depressive symptoms following acute myocardial infarction and its impact on prognosis.

作者信息

Ren Lei, Wang Hongqi, Su Xin, Yang Yangyang, Zhang Yuanzhuo, Yin Xiaoyan, Zhang Dapeng, Hu Guangquan, Ning Bin

机构信息

Department of Cardiovascular Medicine, Fuyang People's Hospital Affiliated to Anhui Medical University (Fuyang People's Hospital), Fuyang, China.

Department of Cardiovascular Medicine, Fuyang Hospital Affiliated to Bengbu Medical College (Fuyang People's Hospital), Fuyang, China.

出版信息

Front Psychiatry. 2025 Apr 29;16:1431182. doi: 10.3389/fpsyt.2025.1431182. eCollection 2025.

Abstract

OBJECTIVE

To construct a predictive model for depressive symptoms following acute myocardial infarction (AMI) and analyze its impact on patient outcomes.

METHODS

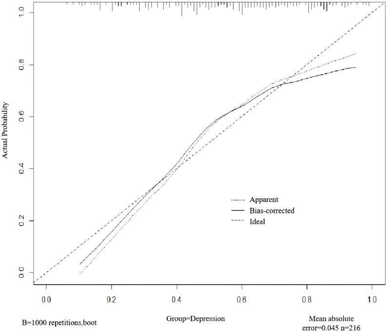
A retrospective analysis was conducted on the clinical data of 216 patients who successfully underwent percutaneous coronary intervention (PCI) for AMI at the hospital from January 2022 to June 2023. One month post-PCI, patients were categorized into groups with and without depressive symptoms based on the Self-Rating Depression Scale (SDS) scores. Logistic regression was used to identify factors influencing depressive symptoms, and a nomogram model for post-PCI depressive symptoms risk in AMI patients was developed using these factors. Internal validation of the model was performed using the Bootstrap method and Hosmer-Lemeshow goodness-of-fit test. The model's value was assessed through Receiver Operating Characteristic (ROC) curve analysis. Outcomes at six months post-PCI were also compared between patients with different levels of depressive symptoms.

RESULTS

At one month post-PCI, the incidence of depressive symptoms was 54.63%. Logistic regression revealed that Killip class III, monocyte count, albumin levels, C-reactive protein (CRP), and left ventricular ejection fraction (LVEF) were significant predictors of post-AMI depressive symptoms (P < 0.05). The nomogram, based on these five primary indicators, showed good concordance with acceptable and ideal curves (Hosmer-Lemeshow test χ2 = 10.593, P = 0.226); the area under the ROC curve was 0.767 (95% CI: 0.702-0.831). At six months post-PCI, the rates of rehospitalization and major adverse cardiovascular events were higher in the group with depressive symptoms compared to those without (P < 0.05); severe depressive symptoms were associated with a higher rate of major adverse cardiovascular events than mild depressive symptoms (P < 0.05).

CONCLUSION

Killip class III, monocyte count, albumin levels, CRP, and LVEF are significant predictors of post-AMI depressive symptoms. The predictive model based on these factors demonstrates good calibration and discriminative ability; moreover, depressive symptoms adversely affect the prognosis of AMI patients, with more severe symptoms correlating with a higher incidence of major adverse cardiovascular events.

摘要

目的

构建急性心肌梗死(AMI)后抑郁症状的预测模型,并分析其对患者预后的影响。

方法

对2022年1月至2023年6月在该医院成功接受经皮冠状动脉介入治疗(PCI)的216例AMI患者的临床资料进行回顾性分析。PCI术后1个月,根据自评抑郁量表(SDS)评分将患者分为有抑郁症状组和无抑郁症状组。采用逻辑回归确定影响抑郁症状的因素,并使用这些因素建立AMI患者PCI术后抑郁症状风险的列线图模型。采用Bootstrap法和Hosmer-Lemeshow拟合优度检验对模型进行内部验证。通过受试者工作特征(ROC)曲线分析评估模型的价值。还比较了不同抑郁症状水平患者PCI术后6个月的预后情况。

结果

PCI术后1个月,抑郁症状的发生率为54.63%。逻辑回归显示,Killip分级III级、单核细胞计数、白蛋白水平、C反应蛋白(CRP)和左心室射血分数(LVEF)是AMI后抑郁症状的重要预测因素(P<0.05)。基于这五个主要指标的列线图与可接受曲线和理想曲线具有良好的一致性(Hosmer-Lemeshow检验χ2=10.593,P=0.226);ROC曲线下面积为0.767(95%CI:0.702-0.831)。PCI术后6个月,有抑郁症状组的再住院率和主要不良心血管事件发生率高于无抑郁症状组(P<0.05);重度抑郁症状组的主要不良心血管事件发生率高于轻度抑郁症状组(P<0.05)。

结论

Killip分级III级、单核细胞计数、白蛋白水平、CRP和LVEF是AMI后抑郁症状的重要预测因素。基于这些因素的预测模型具有良好的校准和判别能力;此外,抑郁症状对AMI患者的预后有不利影响,症状越严重,主要不良心血管事件的发生率越高。

https://cdn.ncbi.nlm.nih.gov/pmc/blobs/15fc/12069306/25e1f58e8f2b/fpsyt-16-1431182-g001.jpg

文献AI研究员

20分钟写一篇综述,助力文献阅读效率提升50倍。

立即体验

用中文搜PubMed

大模型驱动的PubMed中文搜索引擎

马上搜索

文档翻译

学术文献翻译模型,支持多种主流文档格式。

立即体验