Suppr超能文献

不同模式增强型体外反搏对急性血流动力学效应的评估

Evaluation of enhanced external counterpulsation with different modes on acute hemodynamic effects.

作者信息

Zhong Yujia, Hao Liling, Jia Xue, Paek Songrim, Tian Shuai, Wu Guifu

机构信息

College of Medicine and Biological Information Engineering, Northeastern University, Shenyang, Liaoning, China.

Department of Cardiology, The Eighth Affiliated Hospital of Sun Yat-sen University, Shenzhen, Guangdong, China.

出版信息

Front Physiol. 2025 Apr 30;16:1555358. doi: 10.3389/fphys.2025.1555358. eCollection 2025.

Abstract

OBJECTIVE

Enhanced external counterpulsation (EECP) is a noninvasive device for the treatment of cardiovascular diseases. However, there are minimal data regarding the effects of different EECP modes on acute hemodynamic changes, particularly blood flow redistribution. This study aimed to investigate the systemic hemodynamic effects during different EECP modes based on clinical trials and numerical analysis.

METHODS

Fifteen patients with cardiovascular disease and 15 healthy subjects completed four and six EECP modes, respectively. These EECP modes changed the parameters, including counterpulsation pressure, start time, and counterpulsation frequency. Hemodynamic parameters in the aorta (AO), right femoral artery (RF), and right brachial artery (RB), including mean flow rate (FR), mean blood velocity (MV), peak systolic velocity (PSV), minimum diastolic velocity (MDV), and diastolic/systolic blood pressure ratio (D/S), were measured during EECP treatments. Meanwhile, the simulation of hemodynamic responses to different EECP modes based on a 0D-1D cardiovascular system model were conducted and compared with the clinical results.

RESULTS

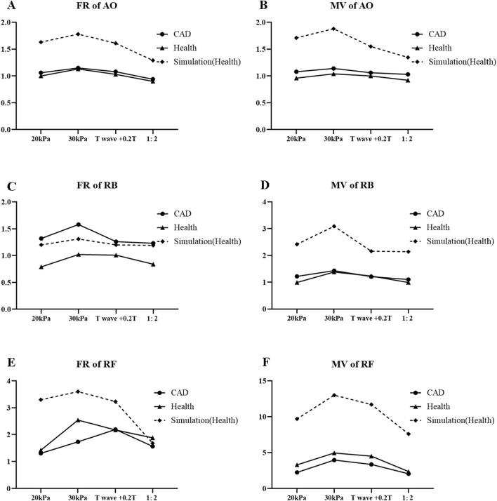
As counterpulsation pressure increased, the FR and PSV of AO, the FR, MV, PSV, and MDV of RF, the FR, MV, and MDV of RB, and D/S increased in patients (). The MV of RF, the FR, MV, PSV, and MDV of RB, and D/S of patients decreased significantly with increasing start time (). For the increase of counterpulsation frequency, the FR, MV, and PSV of AO, the MV, PSV, and MDV of RF, and the FR and MV of RB significantly decreased in patients (). For the health group, most patients' results were similar. Multiple groups of pressure experiments indicated that 25-30 kPa significantly improved blood flow. The numerical results under different EECP modes were generally closely aligned with clinical measurements.

CONCLUSION

Different EECP modes induced different hemodynamic responses. Higher counterpulsation pressure, T wave start time, and 1:1 counterpulsation frequency are recommended to improve blood flow. Hemodynamic simulations prepare the way for the creation of virtual databases to obtain population-based strategies and then allow for precision-based strategies through individual modeling. The different hemodynamic responses to EECP modes provide theoretical guidance for the development of a patient-specific treatment strategy.

摘要

目的

增强型体外反搏(EECP)是一种用于治疗心血管疾病的非侵入性设备。然而,关于不同EECP模式对急性血流动力学变化,特别是血流再分布的影响的数据极少。本研究旨在基于临床试验和数值分析,研究不同EECP模式下的全身血流动力学效应。

方法

15例心血管疾病患者和15名健康受试者分别完成了四种和六种EECP模式。这些EECP模式改变了包括反搏压力、开始时间和反搏频率等参数。在EECP治疗期间,测量主动脉(AO)、右股动脉(RF)和右肱动脉(RB)的血流动力学参数,包括平均流速(FR)、平均血流速度(MV)、收缩期峰值速度(PSV)、舒张期最小速度(MDV)和舒张压/收缩压比值(D/S)。同时,基于0D-1D心血管系统模型对不同EECP模式的血流动力学反应进行模拟,并与临床结果进行比较。

结果

随着反搏压力增加,患者主动脉的FR和PSV、右股动脉的FR、MV、PSV和MDV、右肱动脉的FR、MV和MDV以及D/S均增加()。随着开始时间增加,患者右股动脉的MV、右肱动脉的FR、MV、PSV和MDV以及D/S显著降低()。随着反搏频率增加,患者主动脉的FR、MV和PSV、右股动脉的MV、PSV和MDV以及右肱动脉的FR和MV显著降低()。对于健康组,大多数患者的结果相似。多组压力实验表明,25-30 kPa可显著改善血流。不同EECP模式下的数值结果总体上与临床测量结果密切吻合。

结论

不同的EECP模式可引起不同的血流动力学反应。建议采用较高的反搏压力、T波开始时间和1:1反搏频率来改善血流。血流动力学模拟为创建虚拟数据库以获得基于人群的策略铺平了道路,然后通过个体建模实现基于精准的策略。对EECP模式的不同血流动力学反应为制定个性化治疗策略提供了理论指导。

https://cdn.ncbi.nlm.nih.gov/pmc/blobs/624d/12075145/003f6636fc4b/fphys-16-1555358-g001.jpg

文献AI研究员

20分钟写一篇综述,助力文献阅读效率提升50倍。

立即体验

用中文搜PubMed

大模型驱动的PubMed中文搜索引擎

马上搜索

文档翻译

学术文献翻译模型,支持多种主流文档格式。

立即体验