Suppr超能文献

在青少年和青年肾移植受者中,他克莫司个体化药代动力学(IPV)分组与电子监测或自我报告的依从性并不始终一致。

Tacrolimus IPV Group Membership Does Not Consistently Track With Electronically Monitored or Self-reported Adherence in Adolescent and Young Adult Kidney Transplant Recipients.

作者信息

Eaton Cyd K, Pruette Cozumel S, Riekert Kristin A, Yousefzadeh Nazanin, Pai Ahna L, Amaral Sandra, Dharnidharka Vikas R, Knäuper Bärbel, Smith Jodi M, Furth Susan L, Foster Bethany J

机构信息

Division of General Pediatrics, Department of Pediatrics, Johns Hopkins School of Medicine, Baltimore, MD.

Division of Pediatric Nephrology, Department of Pediatrics, Johns Hopkins School of Medicine, Baltimore, MD.

出版信息

Transplant Direct. 2025 May 12;11(6):e1806. doi: 10.1097/TXD.0000000000001806. eCollection 2025 Jun.

Abstract

BACKGROUND

High intrapatient variability (IPV) of tacrolimus trough concentrations (SD ≥ 2, coefficient of variation (CV%) ≥ 30) is associated with rejection and graft loss and may indicate nonadherence. However, the association between tacrolimus IPV and electronically monitored or self-reported adherence is unknown.

METHODS

This secondary analysis of the TAKE-IT (Teen Adherence in Kidney Transplant Effectiveness of Intervention Trial) compared electronically monitored and self-reported adherence between participants with high and low tacrolimus IPV among 103 adolescent and young adult kidney transplant recipients (mean age = 15.18 y, 59% male, 60% White, 65% >1-y posttransplant).

RESULTS

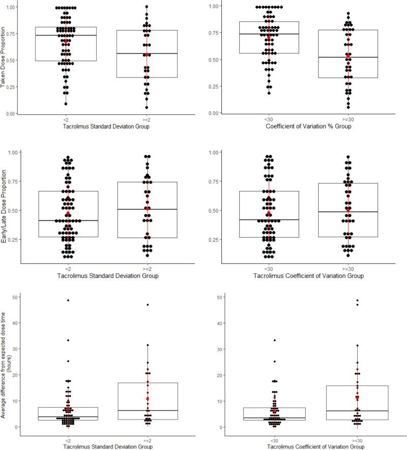
Electronically monitored daily taking and timing adherence were not significantly associated with tacrolimus IPV group in binomial generalized linear mixed effects models: Participants with tacrolimus SD ≥ 2 or CV% ≥ 30 were no less likely to take each daily dose than those below these cutoffs (SD < versus ≥ 2: odds ratio [OR]; 0.84, 95% confidence interval [CI], 0.48-1.47;  = 0.54 and CV% < versus ≥ 30: OR, 0.72; 95% CI, 0.43-1.21;  = 0.22). Participants with tacrolimus SD ≥ 2 or CV% ≥ 30 were no less likely to take each daily dose on time than those below these cutoffs (SD < versus ≥ 2: OR, 0.70; 95% CI, 0.40-1.23;  = 0.21 and CV% < versus ≥ 30: OR, 0.68; 95% CI, 0.40-1.16;  = 0.15). Electronically monitored averages of doses taken, doses taken early/late, and differences from expected dose time were associated with tacrolimus IPV ( < 0.05) but were poor classifiers of IPV group membership (area under the curve < 0.70). Self-reported adherence was not associated with tacrolimus IPV.

CONCLUSIONS

Tacrolimus IPV group membership does not consistently track with behavioral adherence measures. Relying on tacrolimus IPV group membership may misidentify nonadherence in adolescent and young adult kidney transplant recipients.

摘要

背景

他克莫司谷浓度的患者内高变异性(IPV)(标准差≥2,变异系数(CV%)≥30)与移植排斥和移植物丢失相关,可能提示治疗依从性差。然而,他克莫司IPV与电子监测或自我报告的依从性之间的关联尚不清楚。

方法

这项对TAKE-IT(青少年肾移植干预试验中的依从性)的二次分析比较了103例青少年和青年肾移植受者(平均年龄=15.18岁,59%为男性,60%为白人,65%移植后超过1年)中他克莫司IPV高和低的参与者之间电子监测和自我报告的依从性。

结果

在二项式广义线性混合效应模型中,电子监测的每日服药情况和服药时间依从性与他克莫司IPV组无显著关联:他克莫司标准差≥2或CV%≥30的参与者每天服用各剂量的可能性并不低于低于这些临界值的参与者(标准差<与≥2:比值比[OR];0.84,95%置信区间[CI],0.48-1.47;P=0.54,CV%<与≥30:OR,0.72;95%CI,0.43-1.21;P=0.22)。他克莫司标准差≥2或CV%≥30的参与者按时服用各剂量的可能性并不低于低于这些临界值的参与者(标准差<与≥2:OR,0.70;95%CI,0.40-1.23;P=0.21,CV%<与≥30:OR,0.68;95%CI,0.40-1.16;P=0.15)。电子监测的服药剂量平均值、早服/晚服剂量以及与预期服药时间的差异与他克莫司IPV相关(P<0.05),但对IPV组成员的分类能力较差(曲线下面积<0.70)。自我报告的依从性与他克莫司IPV无关。

结论

他克莫司IPV组成员与行为依从性指标并不一致。依靠他克莫司IPV组成员可能会错误识别青少年和青年肾移植受者的不依从情况。

https://cdn.ncbi.nlm.nih.gov/pmc/blobs/d567/12074067/5d0f8a56c75a/txd-11-e1806-g001.jpg

文献AI研究员

20分钟写一篇综述,助力文献阅读效率提升50倍。

立即体验

用中文搜PubMed

大模型驱动的PubMed中文搜索引擎

马上搜索

文档翻译

学术文献翻译模型,支持多种主流文档格式。

立即体验