Suppr超能文献

基于多模态MRI影像组学和深度学习预测机械取栓术后急性缺血性卒中的预后

Prediction of prognosis in acute ischemic stroke after mechanical thrombectomy based on multimodal MRI radiomics and deep learning.

作者信息

Pei Lei, Han Xiaowei, Ni Chenfeng, Ke Junli

机构信息

Department of Radiology, The Quzhou Affiliated Hospital of Wenzhou Medical University, Quzhou People's Hospital, Quzhou, China.

出版信息

Front Neurol. 2025 Apr 30;16:1587347. doi: 10.3389/fneur.2025.1587347. eCollection 2025.

Abstract

BACKGROUND

Acute ischemic stroke (AIS) is a major global health threat associated with high rates of disability and mortality, highlighting the need for early prognostic assessment to guide treatment. Currently, there are no reliable methods for the early prediction of poor prognosis in AIS, especially after mechanical thrombectomy. This study aimed to explore the value of radiomics and deep learning based on multimodal magnetic resonance imaging (MRI) in predicting poor prognosis in patients with AIS who underwent mechanical thrombectomy. This study aimed to provide a more accurate and comprehensive tool for stroke prognosis.

METHODS

This study retrospectively analyzed the clinical data and multimodal MRI images of patients with stroke at admission. Logistic regression was employed to identify the risk factors associated with poor prognosis and to construct a clinical model. Radiomics features of the stroke-affected regions were extracted from the patients' baseline multimodal MRI images, and the optimal radiomics features were selected using a least absolute shrinkage and selection operator regression model combined with five-fold cross-validation. The radiomics score was calculated based on the feature weights, and machine learning techniques were applied using a logistic regression classifier to develop the radiomics model. In addition, a deep learning model was devised using ResNet101 and transfer learning. The clinical, radiomics, and deep learning models were integrated to establish a comprehensive multifactorial logistic regression model, termed the CRD (Clinic-Radiomics-Deep Learning) model. The performance of each model in predicting poor prognosis was assessed using receiver operating characteristic (ROC) curve analysis, with the optimal model visualized as a nomogram. A calibration curve was plotted to evaluate the accuracy of nomogram predictions.

RESULTS

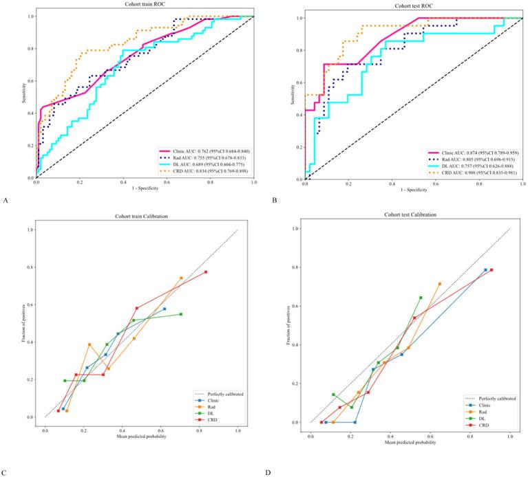
A total of 222 patients with AIS were enrolled in this study in a 7:3 ratio, with 155 patients in the training cohort and 67 in the validation cohort. Statistical analysis of clinical data from the training and validation cohorts identified two independent risk factors for poor prognosis: the National Institutes of Health Stroke Scale score at admission and the occurrence of intracerebral hemorrhage. Of the 1,197 radiomic features, 16 were selected to develop the radiomics model. Area under the ROC curve (AUC) analysis of specific indicators demonstrated varying performances across methods and cohorts. In the training cohort, the clinical, radiomics, deep learning, and integrated CRD models achieved AUC values of 0.762, 0.755, 0.689, and 0.834, respectively. In the validation cohort, the clinical model exhibited an AUC of 0.874, the radiomics model achieved an AUC of 0.805, the deep learning model attained an AUC of 0.757, and the CRD model outperformed all models, with an AUC of 0.908. Calibration curves indicated that the CRD model showed exceptional consistency and accuracy in predicting poor prognosis in patients with AIS. Decision curve analysis revealed that the CRD model offered the highest net benefit compared with the clinical, radiomics, and deep learning models.

CONCLUSION

The CRD model based on multimodal MRI demonstrated high diagnostic efficacy and reliability in predicting poor prognosis in patients with AIS who underwent mechanical thrombectomy. This model holds considerable potential for assisting clinicians with risk assessment and decision-making for patients experiencing ischemic stroke.

摘要

背景

急性缺血性卒中(AIS)是一种对全球健康构成重大威胁的疾病,与高致残率和死亡率相关,这凸显了进行早期预后评估以指导治疗的必要性。目前,尚无可靠方法可早期预测AIS的不良预后,尤其是在机械取栓术后。本研究旨在探讨基于多模态磁共振成像(MRI)的放射组学和深度学习在预测接受机械取栓的AIS患者不良预后中的价值。本研究旨在为卒中预后提供一种更准确、全面的工具。

方法

本研究回顾性分析了入院时卒中患者的临床资料和多模态MRI图像。采用逻辑回归识别与不良预后相关的危险因素并构建临床模型。从患者的基线多模态MRI图像中提取卒中受累区域的放射组学特征,并使用最小绝对收缩和选择算子回归模型结合五折交叉验证选择最佳放射组学特征。基于特征权重计算放射组学评分,并使用逻辑回归分类器应用机器学习技术建立放射组学模型。此外,使用ResNet101和迁移学习设计了一个深度学习模型。将临床、放射组学和深度学习模型整合,建立一个综合多因素逻辑回归模型,称为CRD(临床-放射组学-深度学习)模型。使用受试者操作特征(ROC)曲线分析评估每个模型预测不良预后的性能,并将最佳模型可视化为列线图。绘制校准曲线以评估列线图预测的准确性。

结果

本研究共纳入222例AIS患者,按7:3比例分为训练队列155例和验证队列67例。对训练队列和验证队列的临床数据进行统计分析,确定了两个不良预后的独立危险因素:入院时美国国立卫生研究院卒中量表评分和脑出血的发生。在1197个放射组学特征中,选择了16个用于建立放射组学模型。特定指标的ROC曲线下面积(AUC)分析表明,不同方法和队列的表现各异。在训练队列中,临床、放射组学、深度学习和综合CRD模型的AUC值分别为0.762、0.755、0.689和0.834。在验证队列中,临床模型的AUC为0.874,放射组学模型的AUC为0.805,深度学习模型的AUC为0.757,CRD模型优于所有模型,AUC为0.908。校准曲线表明,CRD模型在预测AIS患者不良预后方面表现出卓越的一致性和准确性。决策曲线分析显示,与临床、放射组学和深度学习模型相比,CRD模型提供了最高的净效益。

结论

基于多模态MRI的CRD模型在预测接受机械取栓的AIS患者不良预后方面显示出高诊断效能和可靠性。该模型在协助临床医生对缺血性卒中患者进行风险评估和决策方面具有巨大潜力。

https://cdn.ncbi.nlm.nih.gov/pmc/blobs/292b/12074947/4794458e1752/fneur-16-1587347-g001.jpg

文献AI研究员

20分钟写一篇综述,助力文献阅读效率提升50倍。

立即体验

用中文搜PubMed

大模型驱动的PubMed中文搜索引擎

马上搜索

文档翻译

学术文献翻译模型,支持多种主流文档格式。

立即体验