Suppr超能文献

肠道微生物群中的活细菌通过调节树突状细胞中的DNA甲基化来决定由环境颗粒引发的哮喘发作。

Live bacteria in gut microbiome dictate asthma onset triggered by environmental particles via modulation of DNA methylation in dendritic cells.

作者信息

Ramar Mohankumar, Wiscovitch-Russo Rosana, Yano Naohiro, Singh Harinder, Lamere Edward, Short Michael, Gonzalez-Juarbe Norberto, Fedulov Alexey V

机构信息

Department of Surgery, Division of Surgical Research, Rhode Island Hospital, Alpert Medical School of Brown University, Providence, RI, USA.

Department of Infectious Diseases and Genomic Medicine, J. Craig Venter Institute, Rockville, MD, USA.

出版信息

Cell Rep. 2025 May 27;44(5):115684. doi: 10.1016/j.celrep.2025.115684. Epub 2025 May 13.

Abstract

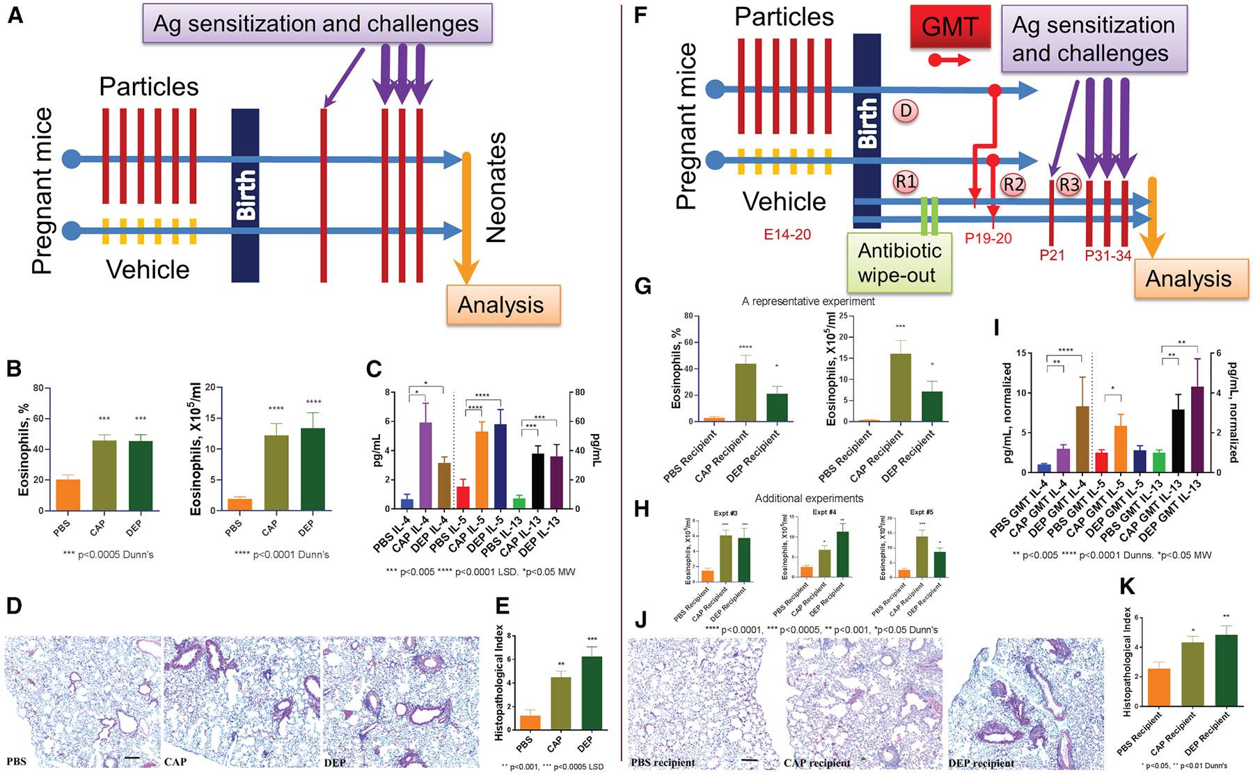
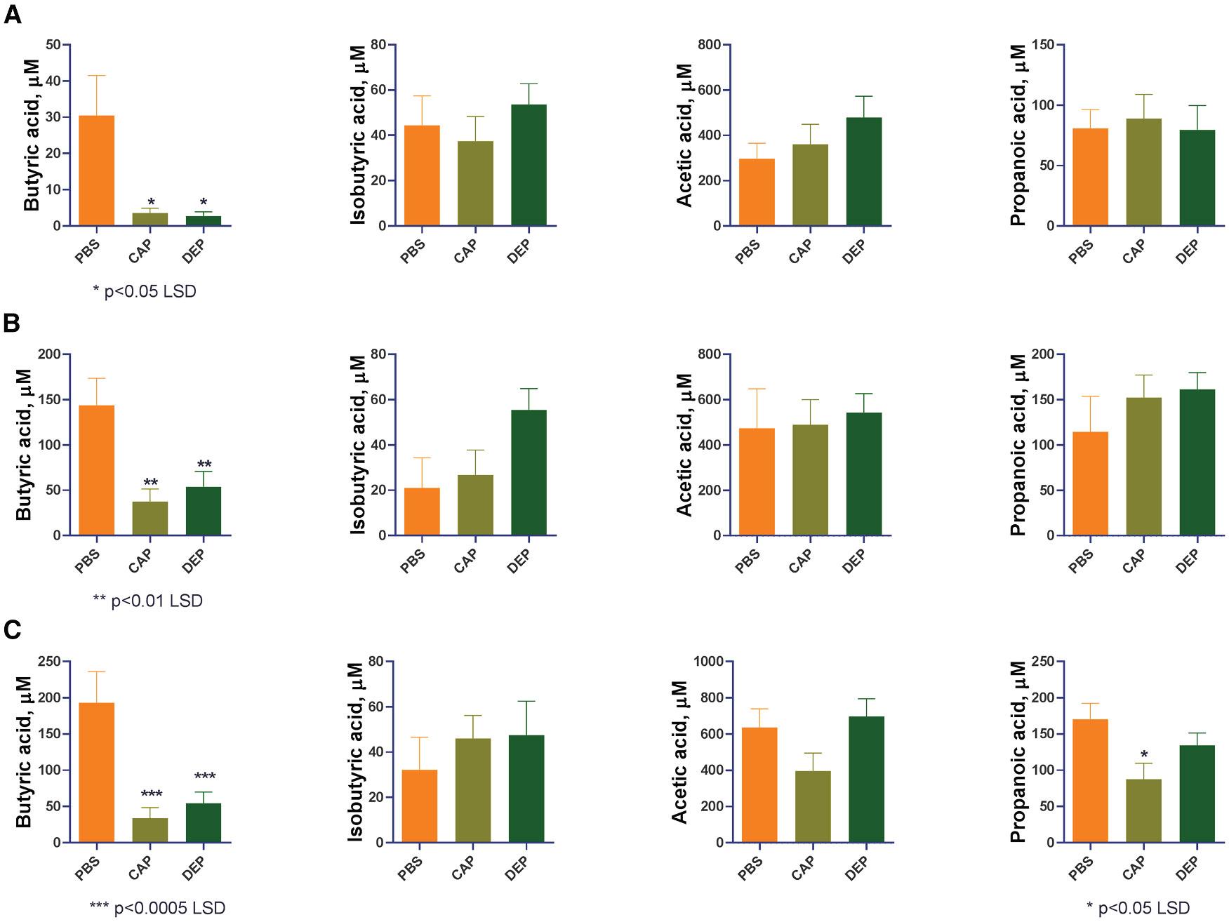
Despite broad knowledge of the pathogenesis, our understanding of the origin of allergy and asthma remains poor, preventing etiotropic treatments. The gut microbiome is seen to be altered in asthmatics; however, proof of causality of the microbiome alterations is lacking. We report on gut microbiome transplantation (GMT) from mice predisposed to asthma by maternal exposure to pro-allergy environmental particles into naive recipients. This GMT confers asthma predisposition, and the effect is abrogated by gamma sterilization of the transplant material or by co-administration of antibacterials, indicating that viable bacteria are mediating the effect. Metagenomics identifies key changes in the "pro-asthma" microbiome, and metabolomics links the identified species to altered production of butyrate known to act on immune cells and epigenetic mechanisms. We further show that transplant recipients develop DNA methylation alterations in dendritic cells. Finally, dendritic cells with an altered methylome present allergen to T cells, and this effect is abrogated by an epigenetically acting drug in vitro.

摘要

尽管对发病机制有广泛了解,但我们对过敏和哮喘的起源仍知之甚少,这使得病因针对性治疗难以开展。哮喘患者的肠道微生物群被发现存在改变;然而,微生物群改变的因果关系证据仍不充分。我们报告了将通过母体暴露于促过敏环境颗粒而易患哮喘的小鼠的肠道微生物群移植(GMT)到未接触过的受体小鼠体内的情况。这种GMT赋予了哮喘易感性,且移植材料经伽马射线灭菌或同时给予抗菌药物后,该效应消失,这表明活细菌在介导这一效应。宏基因组学确定了“促哮喘”微生物群的关键变化,代谢组学将已鉴定的物种与已知作用于免疫细胞和表观遗传机制的丁酸产生改变联系起来。我们进一步表明,移植受体的树突状细胞出现DNA甲基化改变。最后,甲基化组发生改变的树突状细胞将过敏原呈递给T细胞,且体外一种表观遗传作用药物可消除这一效应。

https://cdn.ncbi.nlm.nih.gov/pmc/blobs/3dd4/12172552/1512b3ae9bcb/nihms-2085655-f0002.jpg

文献AI研究员

20分钟写一篇综述,助力文献阅读效率提升50倍。

立即体验

用中文搜PubMed

大模型驱动的PubMed中文搜索引擎

马上搜索

文档翻译

学术文献翻译模型,支持多种主流文档格式。

立即体验