Suppr超能文献

用于高级别胶质瘤分级预测和生存分析的机器学习

Machine learning for grading prediction and survival analysis in high grade glioma.

作者信息

Li Xiangzhi, Huang Xueqi, Shen Yi, Yu Sihui, Zheng Lin, Cai Yunxiang, Yang Yang, Zhang Renyuan, Zhu Lingying, Wang Enyu

机构信息

Taizhou Key Laboratory of Minimally Invasive Interventional Therapy & Artificial Intelligence, Taizhou Branch of Zhejiang Cancer Hospital (Taizhou Cancer Hospital), No.50, Zhenxin Road, Taizhou, 317502, China.

School of Science & School of Medicine, Guangxi University of Science and Technology, Liuzhou, 545006, China.

出版信息

Sci Rep. 2025 May 15;15(1):16955. doi: 10.1038/s41598-025-01413-4.

Abstract

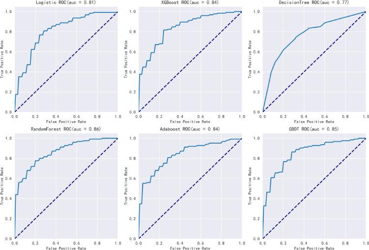
We developed and validated a magnetic resonance imaging (MRI)-based radiomics model for the classification of high-grade glioma (HGG) and determined the optimal machine learning (ML) approach. This retrospective analysis included 184 patients (59 grade III lesions and 125 grade IV lesions). Radiomics features were extracted from MRI with T1-weighted imaging (T1WI). The least absolute shrinkage and selection operator (LASSO) feature selection method and seven classification methods including logistic regression, XGBoost, Decision Tree, Random Forest (RF), Adaboost, Gradient Boosting Decision Tree, and Stacking fusion model were used to differentiate HGG. Performance was compared on AUC, sensitivity, accuracy, precision and specificity. In the non-fusion models, the best performance was achieved by using the XGBoost classifier, and using SMOTE to deal with the data imbalance to improve the performance of all the classifiers. The Stacking fusion model performed the best, with an AUC = 0.95 (sensitivity of 0.84; accuracy of 0.85; F1 score of 0.85). MRI-based quantitative radiomics features have good performance in identifying the classification of HGG. The XGBoost method outperforms the classifiers in the non-fusion model and the Stacking fusion model outperforms the non-fusion model.

摘要

我们开发并验证了一种基于磁共振成像(MRI)的放射组学模型,用于高级别胶质瘤(HGG)的分类,并确定了最佳的机器学习(ML)方法。这项回顾性分析纳入了184例患者(59例III级病变和125例IV级病变)。从T1加权成像(T1WI)的MRI中提取放射组学特征。使用最小绝对收缩和选择算子(LASSO)特征选择方法以及包括逻辑回归、XGBoost、决策树、随机森林(RF)、Adaboost、梯度提升决策树和堆叠融合模型在内的七种分类方法来区分HGG。比较了AUC、敏感性、准确性、精确性和特异性方面的性能。在非融合模型中,使用XGBoost分类器取得了最佳性能,并且使用合成少数过采样技术(SMOTE)处理数据不平衡以提高所有分类器的性能。堆叠融合模型表现最佳,AUC = 0.95(敏感性为0.84;准确性为0.85;F1分数为0.85)。基于MRI的定量放射组学特征在识别HGG分类方面具有良好性能。XGBoost方法在非融合模型中优于其他分类器,而堆叠融合模型优于非融合模型。

https://cdn.ncbi.nlm.nih.gov/pmc/blobs/a38c/12081730/e1b8becbce9c/41598_2025_1413_Fig1_HTML.jpg

文献AI研究员

20分钟写一篇综述,助力文献阅读效率提升50倍。

立即体验

用中文搜PubMed

大模型驱动的PubMed中文搜索引擎

马上搜索

文档翻译

学术文献翻译模型,支持多种主流文档格式。

立即体验