Suppr超能文献

从姜黄中分离出的姜黄素对胰岛素信号通路中关键酶以及与肥胖、2型糖尿病和高血压相关的消化和代谢酶的保护作用。

Protective Effects of Isolated Curcumin From on Key Enzymes Involved in the Insulin Signaling Pathway and Digestive and Metabolic Enzymes Associated With Obesity, Type 2 Diabetes, and Hypertension.

作者信息

Alhar Munirah S O, El-Sofany Walaa I, AlRashidi Aljazi Abdullah, Hamden Khaled

机构信息

Department of Chemistry, College of Science, University of Ha'il, Ha'il 81451, Saudi Arabia.

Medical and Diagnostic Research Center, University of Ha'il, Ha'il 55473, Saudi Arabia.

出版信息

J Diabetes Res. 2025 May 8;2025:8050374. doi: 10.1155/jdr/8050374. eCollection 2025.

Abstract

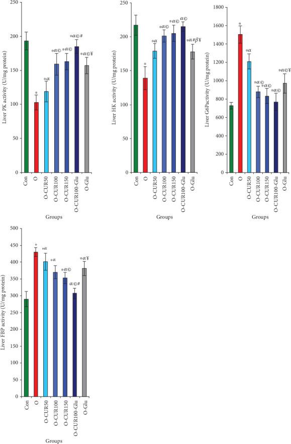
This study explores the potential of curcumin (CUR), extracted from , in combating obesity and Type 2 diabetes. Obesity and Type 2 diabetes were induced in rats through a high-fat and high-fructose diet (HFFD), and CUR, after purification and characterization by Fourier transform infrared spectroscopy (FTIR) and ultraviolet (UV) spectroscopy, was administered for 3 months via gastric gavage. The results show that CUR supplementation activates the insulin signaling pathway in a dose-dependent manner, leading to improved insulin sensitivity. Specifically, administering CUR at a daily dose of 100 mg/kg significantly reduces the activities of protein tyrosine phosphatase (PTP1B) and dipeptidyl peptidase-4 (DPP-4) by 43% and 45%, respectively, in obese and Type 2 diabetic rats compared to untreated obese rats. Furthermore, CUR effectively inhibits lipase and -amylase activities at both the serum and intestinal levels. In obese rats, CUR administration reduces glycogen phosphorylase (GP) activity by 35% and enhances glycogen synthase (GS) activity by 78%, leading to a substantial increase in hepatic glycogen content. Additionally, CUR also led to a 21% reduction in food intake and a 12% decrease in water consumption. These changes contributed to significant reductions in the blood sugar and glycosylated hemoglobin (HbA1c) levels, with decreases of 59% and 53%, respectively. Additionally, administering CUR at a dose of 100 mg/kg body weight reduced thiobarbituric acid reactive substances (TBARSs), hydrogen peroxide (HO), and total oxidant status (TOS) in obese and diabetic rats, with reductions of 49%, 59%, and 58%, respectively. Furthermore, CUR demonstrates a strong regulatory effect on the levels of low-density lipoprotein cholesterol (LDL-C), high-density lipoprotein cholesterol (HDL-C), and total cholesterol (TC). Overall, these results underscore the CUR potential for treating and preventing diabetes and obesity.

摘要

本研究探讨了从[具体来源未给出]中提取的姜黄素(CUR)在对抗肥胖和2型糖尿病方面的潜力。通过高脂高果糖饮食(HFFD)诱导大鼠肥胖和2型糖尿病,经傅里叶变换红外光谱(FTIR)和紫外(UV)光谱纯化和表征后的CUR,通过灌胃给药3个月。结果表明,补充CUR以剂量依赖的方式激活胰岛素信号通路,从而改善胰岛素敏感性。具体而言,与未治疗的肥胖大鼠相比,以每日100mg/kg的剂量给肥胖和2型糖尿病大鼠施用CUR,可使蛋白酪氨酸磷酸酶(PTP1B)和二肽基肽酶-4(DPP-4)的活性分别显著降低43%和45%。此外,CUR在血清和肠道水平均有效抑制脂肪酶和α-淀粉酶活性。在肥胖大鼠中,施用CUR可使糖原磷酸化酶(GP)活性降低35%,并使糖原合酶(GS)活性提高78%,导致肝糖原含量大幅增加。此外,CUR还使食物摄入量减少21%,饮水量减少12%。这些变化导致血糖和糖化血红蛋白(HbA1c)水平显著降低,分别降低了59%和53%。此外,以100mg/kg体重的剂量施用CUR可降低肥胖和糖尿病大鼠中的硫代巴比妥酸反应性物质(TBARSs)、过氧化氢(H₂O₂)和总氧化剂状态(TOS),分别降低49%、59%和58%。此外,CUR对低密度脂蛋白胆固醇(LDL-C)、高密度脂蛋白胆固醇(HDL-C)和总胆固醇(TC)水平具有很强的调节作用。总体而言,这些结果强调了CUR在治疗和预防糖尿病及肥胖方面的潜力。

https://cdn.ncbi.nlm.nih.gov/pmc/blobs/e5c8/12081152/6cdf093ab21d/JDR2025-8050374.001.jpg

文献AI研究员

20分钟写一篇综述,助力文献阅读效率提升50倍。

立即体验

用中文搜PubMed

大模型驱动的PubMed中文搜索引擎

马上搜索

文档翻译

学术文献翻译模型,支持多种主流文档格式。

立即体验