Suppr超能文献

作物多样性会在微生物生物农药敏感性方面产生权衡,这可能会延缓害虫抗药性的进化。

Crop diversity induces trade-offs in microbial biopesticide susceptibility that could delay pest resistance evolution.

作者信息

Mangan Rosie M, Tinsley Matthew C, Ferrari Ester, Polanczyk Ricardo A, Bussière Luc F

机构信息

Biological and Environmental Sciences, School of Natural Sciences, University of Stirling, Stirling, United Kingdom.

Júlio de Mesquita Filho State University of São Paulo, Faculty of Agrarian and Veterinary Sciences of Jaboticabal, Jaboticabal, São Paulo, Brazil.

出版信息

PLoS Pathog. 2025 May 20;21(5):e1013150. doi: 10.1371/journal.ppat.1013150. eCollection 2025 May.

Abstract

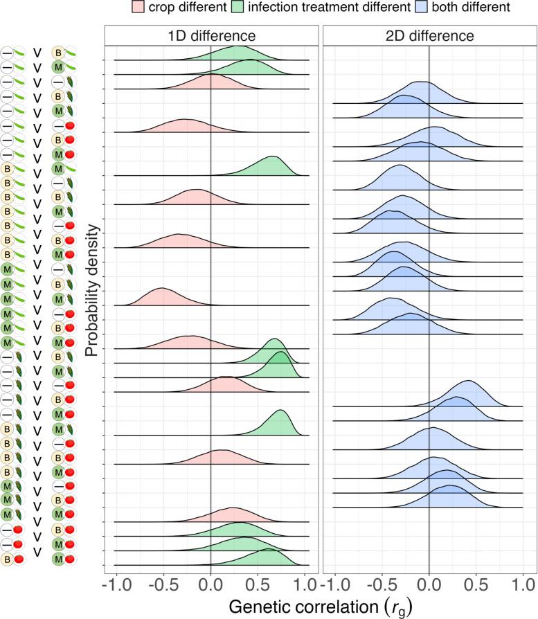
Pathogens often exert strong selection on host populations, yet considerable genetic variation for infection defence persists. Environmental heterogeneity may cause fitness trade-offs that prevent fixation of host alleles affecting survival when exposed to pathogens in wild populations. Pathogens are extensively used in biocontrol for crop protection. However, the risks of pest resistance evolution to biocontrol are frequently underappreciated: the key drivers of fitness trade-offs for pathogen resistance remain unclear, both in natural and managed populations. We investigate whether pathogen identity or host diet has a stronger effect on allelic fitness by quantifying genetic variation and covariation for survival in an insect pest across distinct combinations of fungal pathogen infection and plant diet. We demonstrate substantial heritability, indicating considerable risks of biopesticide resistance evolution. Contrary to conventional thinking in host-pathogen biology, we found no strong genetic trade-offs for surviving exposure to two different fungal pathogen species. However, changes in plant diet dramatically altered selection, revealing diet-mediated genetic trade-offs affecting pest survival. Our data suggest that trade-offs in traits not strictly related to infection responses could nevertheless maintain genetic variation in natural and agricultural landscapes.

摘要

病原体常常对宿主种群施加强烈的选择压力,但宿主在感染防御方面仍存在相当大的遗传变异。环境异质性可能导致适应性权衡,从而阻止在野生种群中接触病原体时影响生存的宿主等位基因的固定。病原体被广泛用于生物防治以保护作物。然而,害虫对生物防治产生抗性进化的风险常常未得到充分认识:在自然种群和管理种群中,病原体抗性适应性权衡的关键驱动因素仍不清楚。我们通过量化害虫在真菌病原体感染和植物饮食的不同组合下生存的遗传变异和协变,来研究病原体身份或宿主饮食对等位基因适应性的影响是否更强。我们证明了显著的遗传力,表明生物农药抗性进化存在相当大的风险。与宿主 - 病原体生物学中的传统观点相反,我们发现暴露于两种不同真菌病原体物种下的生存不存在强烈的遗传权衡。然而,植物饮食的变化极大地改变了选择,揭示了影响害虫生存的饮食介导的遗传权衡。我们的数据表明,与感染反应并非严格相关的性状权衡仍可在自然和农业环境中维持遗传变异。

https://cdn.ncbi.nlm.nih.gov/pmc/blobs/ed85/12091894/e63812bab146/ppat.1013150.g001.jpg

文献AI研究员

20分钟写一篇综述,助力文献阅读效率提升50倍。

立即体验

用中文搜PubMed

大模型驱动的PubMed中文搜索引擎

马上搜索

文档翻译

学术文献翻译模型,支持多种主流文档格式。

立即体验