Suppr超能文献

血浆Dickkopf-1水平与慢性肾脏病相关。

Plasma Dickkopf-1 Levels Are Associated with Chronic Kidney Disease.

作者信息

Li Yu-Hsuan, Cheng Yu-Cheng, Wu Junyi, Lee I-Te

机构信息

Department of Digital Medicine, Taichung Veterans General Hospital, Taichung 407219, Taiwan.

Department of Computer Science & Information Engineering, National Taiwan University, Taipei 106319, Taiwan.

出版信息

Metabolites. 2025 Apr 30;15(5):300. doi: 10.3390/metabo15050300.

Abstract

BACKGROUND

Wnt/β-catenin signaling is important in the development and repair of the kidney. Dickkopf-1 (DKK-1) is characterized as an inhibitor of the Wnt/β-catenin signaling pathway.

PURPOSE

We examined the relationship between plasma DKK-1 levels and the risk of chronic kidney disease (CKD).

METHODS

In this cross-sectional study, patients without known diabetes mellitus who were admitted for coronary angiography due to angina were enrolled. Fasting blood samples were collected at a predetermined outpatient visit.

RESULTS

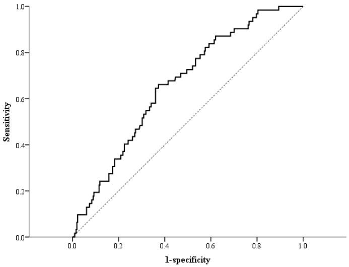
Among 373 enrolled patients, 62 (16.6%) were in the CKD group, and 311 (83.4%) were in the nonCKD group. Plasma DKK-1 levels were significantly higher in the CKD group than in the nonCKD group (697.2 ± 174.7 vs. 589.0 ± 193.3 pg/mL; < 0.001). Plasma DKK-1 levels were inversely correlated with the eGFR (Pearson's correlation coefficient = -0.265; < 0.001). On the basis of multivariable logistic regression analyses, patients in the highest DKK-1 quartile had a significantly greater risk of CKD (OR = 4.188; 95% CI: 1.564, 11.212; = 0.004) than did those in the lowest DKK-1 quartile.

CONCLUSIONS

Plasma DKK-1 levels are associated with the risk of CKD in patients with angina. Further studies investigating the underlying mechanisms involved in the relationship between DKK-1 and CKD are warranted.

摘要

背景

Wnt/β-连环蛋白信号通路在肾脏发育和修复中起重要作用。Dickkopf-1(DKK-1)被认为是Wnt/β-连环蛋白信号通路的抑制剂。

目的

我们研究了血浆DKK-1水平与慢性肾脏病(CKD)风险之间的关系。

方法

在这项横断面研究中,纳入了因心绞痛入院接受冠状动脉造影且无已知糖尿病的患者。在预定的门诊就诊时采集空腹血样。

结果

在373例纳入患者中,62例(16.6%)为CKD组,311例(83.4%)为非CKD组。CKD组血浆DKK-1水平显著高于非CKD组(697.2±174.7 vs. 589.0±193.3 pg/mL;P<0.001)。血浆DKK-1水平与估算肾小球滤过率(eGFR)呈负相关(Pearson相关系数=-0.265;P<0.001)。基于多变量逻辑回归分析,DKK-1四分位数最高组的患者患CKD的风险显著高于DKK-1四分位数最低组(OR=4.188;95%CI:1.564,11.212;P=0.004)。

结论

血浆DKK-1水平与心绞痛患者的CKD风险相关。有必要进一步研究DKK-1与CKD之间关系的潜在机制。

https://cdn.ncbi.nlm.nih.gov/pmc/blobs/db1f/12112992/620d9a9c20cd/metabolites-15-00300-g001.jpg

文献AI研究员

20分钟写一篇综述,助力文献阅读效率提升50倍。

立即体验

用中文搜PubMed

大模型驱动的PubMed中文搜索引擎

马上搜索

文档翻译

学术文献翻译模型,支持多种主流文档格式。

立即体验