Suppr超能文献

芦丁及其苷元槲皮素对HCT 116结肠癌细胞对抗癌药物5-氟尿嘧啶和阿霉素的细胞毒性及化学增敏作用的差异效应

Differential Effects of Rutin and Its Aglycone Quercetin on Cytotoxicity and Chemosensitization of HCT 116 Colon Cancer Cells to Anticancer Drugs 5-Fluorouracil and Doxorubicin.

作者信息

Suman Iva, Jezidžić Alberta, Dobrić Dorotea, Domitrović Robert

机构信息

Department of Medical Chemistry, Biochemistry and Clinical Chemistry, Faculty of Medicine, University of Rijeka, Braće Branchetta 20, 51000 Rijeka, Croatia.

Department of Biotechnology, University of Rijeka, Radmile Matejčić 2, 51000 Rijeka, Croatia.

出版信息

Biology (Basel). 2025 May 9;14(5):527. doi: 10.3390/biology14050527.

Abstract

BACKGROUND

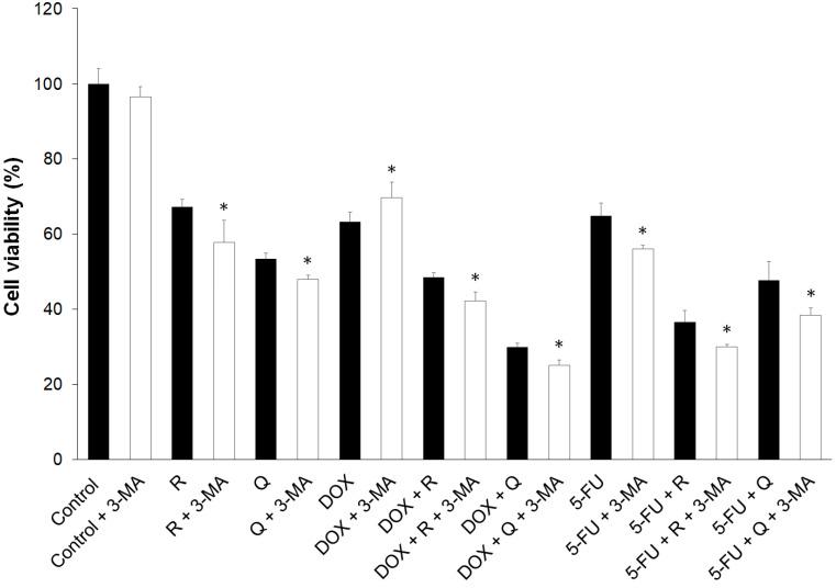
Rutin and quercetin are natural flavonoids with a variety of beneficial health effects, including anticancer activity. In the present study, we compared cytotoxicity and chemosensitization of human colon cancer HCT116 cells to anticancer drugs 5-fluorouracil (5-FU) and doxorubicin (DOX) by both compounds.

METHODS

The 2,3-bis(2-methoxy-4-nitro-5-sulfophenyl)-2H-tetrazolium-5-carboxanilide (XTT) test was used to determine cell viability. Western blot and immunofluorescence techniques were employed in the detection of expression of proteins involved in oxidative stress, apoptosis, and autophagy.

RESULTS

Quercetin treatment resulted in reduced cell viability compared to rutin at the same dose, suggesting greater cytotoxicity than rutin against HCT116 cells. Quercetin was also a better chemosensitizer of DOX than rutin, further reducing cell viability. However, rutin was a better chemosensitizer of 5-FU than quercetin. All treatments induced apoptosis, with rutin and DOX inducing intrinsic and 5-FU inducing extrinsic apoptotic cell death. Autophagy was induced in all treatments and played a pro-survival role, with the exception of DOX treatment. Different treatment regimens specifically modulated cancer cell signaling pathways involved in the regulation of oxidative stress, apoptosis, and autophagy.

CONCLUSIONS

The results of the current study suggest that rutin and quercetin, although structural analogs, act as specific modulators of signaling pathways in cancer cells, differentially affecting cancer cell cytotoxicity and chemosensitization to anticancer drugs, based on the presence of a free hydroxyl group at the C-3 position of the flavonoid backbone at quercetin or rutinose in rutin.

摘要

背景

芦丁和槲皮素是具有多种有益健康作用的天然黄酮类化合物,包括抗癌活性。在本研究中,我们比较了这两种化合物对人结肠癌HCT116细胞的细胞毒性以及对抗癌药物5-氟尿嘧啶(5-FU)和阿霉素(DOX)的化学增敏作用。

方法

采用2,3-双(2-甲氧基-4-硝基-5-磺基苯基)-2H-四唑-5-甲酰苯胺(XTT)试验来测定细胞活力。运用蛋白质印迹法和免疫荧光技术检测参与氧化应激、凋亡和自噬的蛋白质表达。

结果

在相同剂量下,与芦丁相比,槲皮素处理导致细胞活力降低,表明其对HCT116细胞的细胞毒性比芦丁更大。槲皮素也是比芦丁更好的DOX化学增敏剂,能进一步降低细胞活力。然而,芦丁是比槲皮素更好的5-FU化学增敏剂。所有处理均诱导细胞凋亡,芦丁和DOX诱导内源性凋亡,5-FU诱导外源性凋亡细胞死亡。除DOX处理外,所有处理均诱导自噬并发挥促生存作用。不同的处理方案特异性地调节了参与氧化应激、凋亡和自噬调节的癌细胞信号通路。

结论

本研究结果表明,芦丁和槲皮素虽然是结构类似物,但作为癌细胞信号通路的特异性调节剂,基于槲皮素黄酮骨架C-3位的游离羟基或芦丁中的芸香糖的存在,对癌细胞的细胞毒性和对抗癌药物的化学增敏作用有不同影响。

https://cdn.ncbi.nlm.nih.gov/pmc/blobs/ff19/12109564/c5e427aa077a/biology-14-00527-g001.jpg

文献AI研究员

20分钟写一篇综述,助力文献阅读效率提升50倍。

立即体验

用中文搜PubMed

大模型驱动的PubMed中文搜索引擎

马上搜索

文档翻译

学术文献翻译模型,支持多种主流文档格式。

立即体验