Suppr超能文献

(配对的)原发性和复发性肾母细胞瘤样本的基因表达分析,以揭示驱动肿瘤复发的潜在因素。

Gene Expression Analysis of (Paired) Primary and Relapsed Wilms Tumor Samples to Unravel the Underlying Factors Driving Tumor Recurrence.

作者信息

Groenendijk Alissa, Drost Jarno, Mavinkurve-Groothuis Annelies M C, van Grotel Martine, Janssens Geert O, Littooij Annemieke S, van der Steeg Alida F W, van den Heuvel-Eibrink Marry M, Kester Lennart, de Krijger Ronald R

机构信息

Princess Máxima Center for Pediatric Oncology, Utrecht, the Netherlands.

Oncode Institute, Utrecht, the Netherlands.

出版信息

Cancer Med. 2025 Jun;14(11):e70969. doi: 10.1002/cam4.70969.

Abstract

PURPOSE

We aimed to unravel underlying factors driving Wilms tumor (WT) recurrence and to build a prediction model for recurrence based on gene expression data of (paired) primary and relapsed WT samples.

EXPERIMENTAL DESIGN

Gene expression levels from seven paired primary and relapsed WT samples from patients treated in the Princess Máxima Center were compared among each other, as well as to matched primary WT samples of patients without recurrence (controls). The differential gene expression analysis results were run through ToppGene for functional enrichment. We built a 10-fold ridge regression model to predict relapse based on gene expression levels of the seven primary cases and all other available primary WT controls (n = 42).

RESULTS

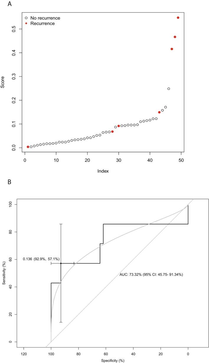
The comparison of primary WT and paired relapses showed downregulation of genes involved in immune regulation among relapses and upregulation of cancer stem cell (CSC) regulation genes. Comparing these primary WT samples to matched controls, we observed that downregulated genes in primary samples of relapsed patients were related to stromal cells and muscle development, and upregulated genes were associated with CSCs. The prediction model revealed a sensitivity of 57.14% (95% CI: 14.29%-85.71%) and a specificity of 92.86% (95% CI: 83.33%-100%) when predicting WT relapse.

CONCLUSION

The CSC pool could play a role in relapse through immune regulation and tumor propagation. Differentiation of CSCs into mesenchymal cells might attenuate the risk of relapse. Our prediction model might aid in selecting patients with an increased risk of relapse at primary diagnosis when externally validated.

摘要

目的

我们旨在揭示驱动肾母细胞瘤(WT)复发的潜在因素,并基于(配对的)原发性和复发性WT样本的基因表达数据建立复发预测模型。

实验设计

比较了在马克西玛公主中心接受治疗的患者的7对原发性和复发性WT样本之间的基因表达水平,以及与无复发患者(对照组)匹配的原发性WT样本之间的基因表达水平。差异基因表达分析结果通过ToppGene进行功能富集分析。我们基于7例原发性病例和所有其他可用的原发性WT对照(n = 42)的基因表达水平构建了一个10倍岭回归模型来预测复发。

结果

原发性WT与配对复发样本的比较显示,复发样本中参与免疫调节的基因下调,而癌症干细胞(CSC)调节基因上调。将这些原发性WT样本与匹配的对照进行比较,我们观察到复发患者原发性样本中下调的基因与基质细胞和肌肉发育有关,而上调的基因与CSC相关。预测模型在预测WT复发时显示出57.14%的敏感性(95% CI:14.29% - 85.71%)和92.86%的特异性(95% CI:83.33% - 100%)。

结论

CSC库可能通过免疫调节和肿瘤增殖在复发中起作用。CSC分化为间充质细胞可能会降低复发风险。我们的预测模型在经过外部验证后可能有助于在初次诊断时选择复发风险增加的患者。

https://cdn.ncbi.nlm.nih.gov/pmc/blobs/e41b/12120524/8efe2a6930a1/CAM4-14-e70969-g006.jpg

文献AI研究员

20分钟写一篇综述,助力文献阅读效率提升50倍。

立即体验

用中文搜PubMed

大模型驱动的PubMed中文搜索引擎

马上搜索

文档翻译

学术文献翻译模型,支持多种主流文档格式。

立即体验