Suppr超能文献

2-肼基苯并咪唑衍生腙的合成、分子表征及抗菌活性评价

Synthesis, Molecular Characterization, and Antimicrobial Evaluation of Hydrazones Derived from 2-Hydrazinobenzimidazole.

作者信息

Al-Saleem Muneera S M, Mohamed Ahmed Mohamed S, Riyadh Sayed M, Alruwaili Awatif H, Zaki Magdi E A, Gomha Sobhi M

机构信息

Department of Chemistry, College of Science, Princess Nourah Bint Abdulrahman University, P.O. Box 84428, Riyadh, 11671, Saudi Arabia.

Department of Chemistry, Faculty of Science, Cairo University, Cairo, Egypt.

出版信息

Drug Des Devel Ther. 2025 May 27;19:4437-4456. doi: 10.2147/DDDT.S521541. eCollection 2025.

Abstract

INTRODUCTION

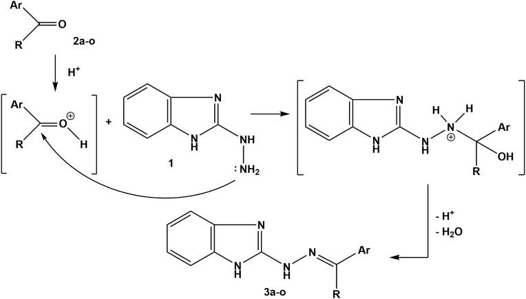
Hydrazones, due to the structural diversity of their nitrogen atoms, possess both electrophilic and nucleophilic properties, enabling strong hydrogen bonding interactions with enzymes and receptors. This study aimed to synthesize novel hydrazone derivatives and evaluate their antimicrobial potential.

METHODS

Hydrazones were synthesized via condensation of 2-hydrazinobenzimidazole with various aldehydes or ketones using citric acid as an eco-friendly catalyst. The (E)-configuration of the products was confirmed through frontier molecular orbital (FMO) calculations. Antimicrobial activities were assessed against selected Gram-positive and Gram-negative bacteria, and fungi. Molecular docking studies were conducted on the most active compounds ( and ) using bacterial and fungal protein targets (2IWC, 2NXW, 1EA1).

RESULTS

Compounds and showed strong antimicrobial activity. Docking studies revealed that both compounds interacted with 2IWC via one H-bond donor to THR531 (3.12 Å), mirroring ampicillin. Against 2NXW, they showed dual H-donor bonding to MET404 with binding energies of -5.96 and -5.72 kcal/mol, comparable to gentamicin. Both also bound ARG326 in 1EA1 with binding energies of -5.97 and -6.0 kcal/mol, similar to nystatin.

DISCUSSION

The comparable binding patterns and energies of compounds and to standard antimicrobial agents suggest that they are promising candidates for further development as broad-spectrum antimicrobial agents.

摘要

引言

由于腙类化合物氮原子的结构多样性,它们兼具亲电和亲核性质,能够与酶和受体形成强大的氢键相互作用。本研究旨在合成新型腙衍生物并评估其抗菌潜力。

方法

以柠檬酸作为环境友好型催化剂,通过2-肼基苯并咪唑与各种醛或酮缩合来合成腙类化合物。通过前沿分子轨道(FMO)计算确定产物的(E)-构型。对选定的革兰氏阳性菌、革兰氏阴性菌和真菌进行抗菌活性评估。使用细菌和真菌蛋白靶点(2IWC、2NXW、1EA1)对活性最高的化合物(和)进行分子对接研究。

结果

化合物和表现出较强的抗菌活性。对接研究表明,这两种化合物均通过一个氢键供体与THR531(3.12 Å)相互作用,与氨苄西林类似。针对2NXW,它们与MET404形成双氢键,结合能分别为-5.96和-5.72 kcal/mol,与庆大霉素相当。两者还以-5.97和-6.0 kcal/mol的结合能与1EA1中的ARG326结合,与制霉菌素类似。

讨论

化合物和与标准抗菌剂具有相似的结合模式和能量,这表明它们有望进一步开发成为广谱抗菌剂。

https://cdn.ncbi.nlm.nih.gov/pmc/blobs/3f9b/12126145/530941955802/DDDT-19-4437-g0001.jpg

文献AI研究员

20分钟写一篇综述,助力文献阅读效率提升50倍。

立即体验

用中文搜PubMed

大模型驱动的PubMed中文搜索引擎

马上搜索

文档翻译

学术文献翻译模型,支持多种主流文档格式。

立即体验