Suppr超能文献

基于门诊的简单生物标志物组合在印度南部病态肥胖女性中筛查脂肪性肝病的性能

Performance of Simple Outpatient-based Biomarker Panels for Screening of Steatotic Liver Disease in Women with Morbid Obesity from Southern India.

作者信息

Saha Shubhashis, Dass Shaleen, Cherian Kripa Elizabeth, Jiwanmall Stephen A, Kattula Dheeraj, Reddy Sandhiya, Jaleel Rajeeb, Paul Thomas V, Kapoor Nitin

机构信息

Department of Endocrinology, Diabetes and Metabolism, Christian Medical College, Vellore, India.

Department of Psychiatry, Christian Medical College, Vellore, India.

出版信息

touchREV Endocrinol. 2025 May;21(1):48-54. doi: 10.17925/EE.2025.21.1.3. Epub 2025 Mar 5.

Abstract

BACKGROUND

Non-alcoholic fatty liver disease (NAFLD) and related health issues are increasing in Indian women with morbid obesity, but the standard diagnostic tool - abdominal ultrasound sonography (USG) - is costly and less accessible. This study aims to identify an affordable and effective biomarker panel to improve early detection and screening of NAFLD in resource-l imited settings.

METHODS

This cross-sectional study included 106 consecutive patients aged between 18 and 70 years with morbid obesity defined by body mass index (BMI) ≥32.5 kg/m who underwent an abdominal USG for a non-hepatic indication. The serum biomarker indices used were hepatic steatosis index, lipid accumulation product (LAP), Framingham steatosis index, triglyceride-glucose (TyG) index, TyG weight-to-height ratio composite index, TyG-BMI and TyG waist circumference composite index.

RESULTS

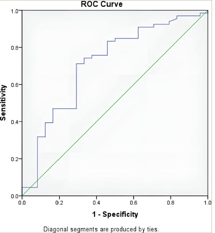
The mean age was 40.2 ± 10.9 years, and the mean BMI was 41.5 ± 5.8 kg/m. NAFLD was diagnosed in 71.7% of the participants. The TyG index showed the highest diagnostic accuracy with an area under the receiver operating characteristic curve (AUROC) of 0.835 (confidence interval [CI]: 0.713-0.957, p<0.001), with a sensitivity of 95.1% and a specificity of 70.8% at a cut-off of 9.0994. LAP showed an AUROC of 0.711 (CI: 0.584-0.838, p-value: 0.002). Using a cut-off score of 76.2, the sensitivity and specificity were 71.2 and 70.8%, respectively.

CONCLUSION

Simple screening tools can be used to detect fatty liver disease in clinical practice. In our cohort, TyG index was found to be the best tool for identifying NAFLD, with LAP showing potential as a secondary option.

摘要

背景

在患有病态肥胖症的印度女性中,非酒精性脂肪性肝病(NAFLD)及相关健康问题日益增多,但标准诊断工具——腹部超声检查(USG)——成本高昂且不易获得。本研究旨在确定一种经济有效的生物标志物组合,以改善资源有限环境下NAFLD的早期检测和筛查。

方法

这项横断面研究纳入了106例年龄在18至70岁之间、体重指数(BMI)≥32.5 kg/m²的病态肥胖患者,这些患者因非肝脏指征接受了腹部USG检查。所使用的血清生物标志物指标包括肝脂肪变性指数、脂质蓄积产物(LAP)、弗雷明汉脂肪变性指数、甘油三酯-葡萄糖(TyG)指数、TyG体重身高比综合指数、TyG-BMI和TyG腰围综合指数。

结果

平均年龄为40.2±10.9岁,平均BMI为41.5±5.8 kg/m²。71.7%的参与者被诊断为NAFLD。TyG指数显示出最高的诊断准确性,受试者操作特征曲线(AUROC)下面积为0.835(置信区间[CI]:0.713 - 0.957,p<0.001),在临界值为9.0994时,灵敏度为95.1%,特异性为70.8%。LAP的AUROC为0.711(CI:0.584 - 0.838,p值:0.002)。使用临界值76.2时,灵敏度和特异性分别为71.2%和70.8%。

结论

简单的筛查工具可用于临床实践中检测脂肪肝疾病。在我们的队列中,TyG指数被发现是识别NAFLD的最佳工具,LAP显示出作为次要选择的潜力。

https://cdn.ncbi.nlm.nih.gov/pmc/blobs/53a6/12140639/ab822a2958b5/touchendo-21-1-048-g001.jpg

文献AI研究员

20分钟写一篇综述,助力文献阅读效率提升50倍。

立即体验

用中文搜PubMed

大模型驱动的PubMed中文搜索引擎

马上搜索

文档翻译

学术文献翻译模型,支持多种主流文档格式。

立即体验