Suppr超能文献

连续前锯肌平面阻滞与肋间神经阻滞及其联合应用在电视辅助胸腔镜肺叶切除术中的镇痛效果:一项前瞻性随机试验的结果

Analgesic efficacy of continuous serratus anterior plane block versus intercostal nerve block and their combination in VATS lobectomy: results from a prospective randomized trial.

作者信息

Lim Hyun Ah, Rim Gongmin, Hyun Kwanyong, Chang Yong Jin, Cho Deog Gon

机构信息

Department of Thoracic and Cardiovascular Surgery, The Catholic University of Korea Seoul St. Mary's Hospital, Seoul, Republic of Korea.

Department of Thoracic and Cardiovascular Surgery, CHA Bundang Medical Center, CHA University School of Medicine, Seongnam, Republic of Korea.

出版信息

Front Surg. 2025 May 27;12:1607150. doi: 10.3389/fsurg.2025.1607150. eCollection 2025.

Abstract

BACKGROUND

Effective postoperative pain management following video-assisted thoracoscopic surgery (VATS) lobectomy is essential to optimize recovery and minimize opioid consumption. This study aimed to compare the analgesic efficacy of ultrasound-guided continuous serratus anterior plane block (SAPB), intercostal nerve block (INB), and their combination (SAPB + INB) in patients undergoing VATS lobectomy.

METHODS

In this single-center, single-blinded, randomized controlled trial, 90 patients undergoing VATS lobectomy for confirmed or suspected lung cancer were randomly assigned to one of three groups: INB ( = 30), continu.ous SAPB ( = 30), or SAPB + INB ( = 30). The primary outcome was postoperative pain assessed using the visual analog scale (VAS) at 24 h. Secondary outcomes included VAS scores at 1, 3, 6, 12, 48, and 72 h postoperatively, cumulative opioid consumption, length of hospital stay, and postoperative complications.

RESULTS

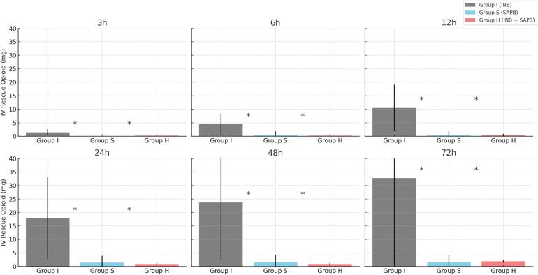
No significant differences in VAS scores were observed among the three groups at 24 h postoperatively. All groups maintained acceptable pain levels (VAS < 4) throughout the study. However, opioid consumption was significantly lower in both the SAPB and SAPB + INB groups compared to the INB group at all time points ( < 0.01).

CONCLUSIONS

Continuous SAPB, INB, and SAPB + INB were all effective for postoperative pain management after VATS lobectomy. However, INB alone was associated with significantly higher opioid use. Given its technical simplicity, prolonged analgesic effect, and opioid-sparing properties, continuous SAPB represents a valuable component of multimodal analgesia in enhanced recovery protocols.

CLINICAL TRIAL REGISTRATION

Identifier KCT0009683.

摘要

背景

电视辅助胸腔镜手术(VATS)肺叶切除术后有效的疼痛管理对于优化恢复和减少阿片类药物消耗至关重要。本研究旨在比较超声引导下持续前锯肌平面阻滞(SAPB)、肋间神经阻滞(INB)及其联合应用(SAPB + INB)在接受VATS肺叶切除术患者中的镇痛效果。

方法

在这项单中心、单盲、随机对照试验中,90例因确诊或疑似肺癌接受VATS肺叶切除术的患者被随机分为三组之一:INB组(n = 30)、持续SAPB组(n = 30)或SAPB + INB组(n = 30)。主要结局是术后24小时使用视觉模拟量表(VAS)评估的术后疼痛。次要结局包括术后1、3、6、12、48和72小时的VAS评分、累积阿片类药物消耗量、住院时间和术后并发症。

结果

术后24小时,三组间VAS评分无显著差异。在整个研究过程中,所有组的疼痛水平均保持在可接受范围内(VAS < 4)。然而,在所有时间点,SAPB组和SAPB + INB组的阿片类药物消耗量均显著低于INB组(P < 0.01)。

结论

持续SAPB、INB和SAPB + INB对VATS肺叶切除术后的疼痛管理均有效。然而,单独使用INB与显著更高的阿片类药物使用相关。鉴于其技术简单、镇痛效果持久和节省阿片类药物的特性,持续SAPB是加速康复方案中多模式镇痛的重要组成部分。

临床试验注册号

标识符KCT0009683。

https://cdn.ncbi.nlm.nih.gov/pmc/blobs/2719/12148914/da4f637e8238/fsurg-12-1607150-g001.jpg

文献AI研究员

20分钟写一篇综述,助力文献阅读效率提升50倍。

立即体验

用中文搜PubMed

大模型驱动的PubMed中文搜索引擎

马上搜索

文档翻译

学术文献翻译模型,支持多种主流文档格式。

立即体验