Suppr超能文献

纤维肌痛临床试验参与者的疼痛时间生物学:与神经性疼痛的比较

Pain chronobiology in clinical trial participants with fibromyalgia: a comparison with neuropathic pain.

作者信息

Navarro Ryan, Hopman Wilma, Gilron Ian

机构信息

Department of Anesthesiology & Perioperative Medicine, Kingston Health Sciences Centre, Queen's University, Kingston, ON, Canada.

Department of Public Health Sciences, Queen's University, Kingston, ON, Canada.

出版信息

Pain Rep. 2025 Jun 20;10(4):e1307. doi: 10.1097/PR9.0000000000001307. eCollection 2025 Aug.

Abstract

INTRODUCTION

Diurnal pain rhythmicity is well recognized for neuropathic pain (NP) and osteoarthritis, however, less is known for fibromyalgia.

OBJECTIVE

We conducted secondary analyses of clinical trial data to describe pain rhythmicity in fibromyalgia compared to NP.

METHODS

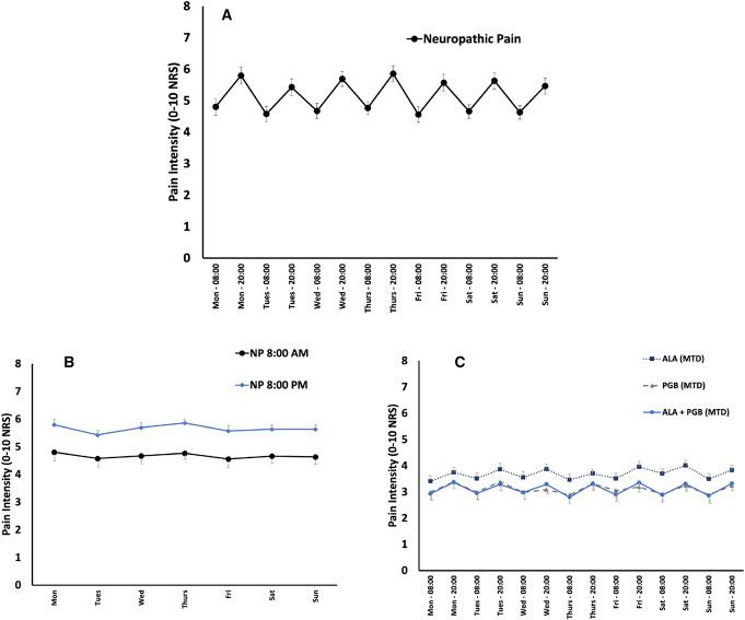
We have compared morning-evening pain differences in fibromyalgia with that of NP by conducting exploratory analyses of data from 2 fibromyalgia trials (68 pooled participants) and 1 NP trial (55 participants). In these trials, pain intensity (0-10 scale) was rated at 8:00 am and 8:00 pm during a 7-day pretrial baseline period and throughout each trial. Analyses evaluated morning vs evening pain intensity differences for each condition as well as possible patient-specific predictors of diurnal variability.

RESULTS

Data demonstrated statistically significant morning-evening differences in both conditions such that evening pain was higher than morning pain by approximately 20% in NP (0.97 NRS, CI: 0.77-1.16) and approximately 7% in fibromyalgia (0.38 numerical rating scale (NRS), CI:0.22-0.53). The morning-evening pain intensity difference was significantly greater for NP vs fibromyalgia. In exploratory analyses of participants with fibromyalgia, older age, shorter pain duration, and more severe "hot-burning" pain rating were significantly correlated with greater morning-evening differences. In NP participants, higher body weight and higher pain interference were significantly correlated with lower morning-evening differences.

CONCLUSIONS

These analyses suggest that fibromyalgia pain is slightly more intense in the evening vs morning. Although it seems less pronounced than with NP, patient subgroups with this pattern should be studied further when investigating and implementing fibromyalgia treatment interventions.

摘要

引言

昼夜疼痛节律在神经性疼痛(NP)和骨关节炎中已得到充分认识,然而,纤维肌痛方面的相关了解较少。

目的

我们对临床试验数据进行了二次分析,以描述纤维肌痛与NP相比的疼痛节律。

方法

我们通过对2项纤维肌痛试验(共68名参与者)和1项NP试验(55名参与者)的数据进行探索性分析,比较了纤维肌痛与NP的早晚疼痛差异。在这些试验中,在为期7天的试验前基线期以及整个试验期间,于上午8:00和晚上8:00对疼痛强度(0 - 10分制)进行评分。分析评估了每种情况下早晚疼痛强度的差异以及昼夜变异性可能的患者特异性预测因素。

结果

数据表明两种情况在统计学上均存在显著的早晚差异,NP中晚上疼痛比早上疼痛高约20%(0.97数字评分量表(NRS),置信区间:0.77 - 1.16),纤维肌痛中约高7%(0.38数字评分量表(NRS),置信区间:0.22 - 0.53)。NP的早晚疼痛强度差异显著大于纤维肌痛。在对纤维肌痛参与者的探索性分析中,年龄较大、疼痛持续时间较短以及“热灼样”疼痛评分较高与更大的早晚差异显著相关。在NP参与者中,体重较高和疼痛干扰较大与较小的早晚差异显著相关。

结论

这些分析表明,纤维肌痛的疼痛在晚上比早上略强。尽管这种情况似乎不如NP明显,但在研究和实施纤维肌痛治疗干预措施时,应进一步研究具有这种模式的患者亚组。

https://cdn.ncbi.nlm.nih.gov/pmc/blobs/8580/12185078/a27856166c35/painreports-10-e1307-g001.jpg

文献AI研究员

20分钟写一篇综述,助力文献阅读效率提升50倍。

立即体验

用中文搜PubMed

大模型驱动的PubMed中文搜索引擎

马上搜索

文档翻译

学术文献翻译模型,支持多种主流文档格式。

立即体验