Suppr超能文献

疼痛神经科学教育在物理治疗中的有效性:一项系统评价与荟萃分析。

Effectiveness of Pain Neuroscience Education in Physical Therapy: A Systematic Review and Meta-Analysis.

作者信息

Sánchez-Robalino Andrea, Sinchi-Sinchi Hugo, Ramírez Andrés

机构信息

Department of Physiotherapy, Pontificia Universidad Católica del Ecuador Sede Esmeraldas, Esmeraldas 080101, Ecuador.

Department of Psychology, Pontificia Universidad Católica del Ecuador Sede Esmeraldas, Esmeraldas 080101, Ecuador.

出版信息

Brain Sci. 2025 Jun 18;15(6):658. doi: 10.3390/brainsci15060658.

Abstract

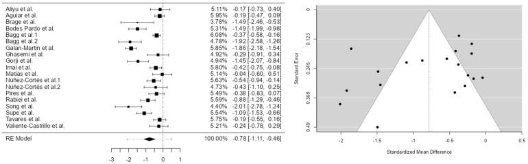
: Pain neuroscience education (PNE), when combined with physical therapy interventions, has been recognized as an effective strategy for improving pain management and reducing disability in individuals with chronic pain. : This systematic review and meta-analysis aimed to evaluate the effectiveness of PNE in combination with rehabilitation modalities, with a focus on pain reduction and functional improvement. : A comprehensive systematic search was conducted in Cochrane, PsycInfo, PubMed, ScienceDirect, Scopus, and Web of Science databases to identify randomized clinical trials examining the effects of combining PNE with physical therapy. Nineteen studies met the inclusion criteria. Data extraction focused on demographic and methodological characteristics, as well as outcomes related to pain and disability. : The findings indicate that PNE combined with physical therapy significantly reduces pain intensity and enhances functionality. The mean pain score decreased from 5.89 (pre-intervention) to 3.03 (post-intervention), with similar improvements observed in disability outcomes. However, heterogeneity among studies-attributable to sociocultural and methodological differences-suggests the need for a cautious interpretation of the results. : The integration of PNE with physical therapy appears to be an effective approach for reducing pain and improving functional outcomes in patients with chronic pain. Nevertheless, further research is recommended to address existing heterogeneity and to refine standardized intervention protocols.

摘要

疼痛神经科学教育(PNE)与物理治疗干预相结合时,已被公认为是改善慢性疼痛患者疼痛管理和减少残疾的有效策略。本系统评价和荟萃分析旨在评估PNE与康复方式相结合的有效性,重点是减轻疼痛和功能改善。在Cochrane、PsycInfo、PubMed、ScienceDirect、Scopus和Web of Science数据库中进行了全面的系统检索,以识别研究PNE与物理治疗相结合效果的随机临床试验。19项研究符合纳入标准。数据提取集中在人口统计学和方法学特征,以及与疼痛和残疾相关的结果。研究结果表明,PNE与物理治疗相结合可显著降低疼痛强度并增强功能。平均疼痛评分从干预前的5.89降至干预后的3.03,残疾结果也有类似改善。然而,研究之间的异质性——归因于社会文化和方法学差异——表明需要谨慎解释结果。PNE与物理治疗相结合似乎是减轻慢性疼痛患者疼痛和改善功能结果的有效方法。尽管如此,建议进一步研究以解决现有的异质性并完善标准化干预方案。

https://cdn.ncbi.nlm.nih.gov/pmc/blobs/0cd2/12191368/2809c798fb43/brainsci-15-00658-g001.jpg

文献AI研究员

20分钟写一篇综述,助力文献阅读效率提升50倍。

立即体验

用中文搜PubMed

大模型驱动的PubMed中文搜索引擎

马上搜索

文档翻译

学术文献翻译模型,支持多种主流文档格式。

立即体验