Suppr超能文献

重金属检测的新工具:喹啉和1,10-菲咯啉选定水溶性苯乙烯基衍生物的合成、光谱和量子化学表征

New Tools in Heavy Metal Detection: Synthesis, Spectroscopic, and Quantum Chemical Characterization of Selected Water-Soluble Styryl Derivatives of Quinoline and 1,10-Phenanthroline.

作者信息

Nycz Jacek E, Kolińska Jolanta, Karaush-Karmazin Nataliya, Chen Tieqiao, Książek Maria, Kusz Joachim

机构信息

Institute of Chemistry, Faculty of Science and Technology, University of Silesia in Katowice, ul. Szkolna 9, 40-006 Katowice, Poland.

Institute of Polymer and Dye Technology, Faculty of Chemistry, Lodz University of Technology, Stefanowskiego 12/16, 90-924 Lodz, Poland.

出版信息

Molecules. 2025 Jun 19;30(12):2659. doi: 10.3390/molecules30122659.

Abstract

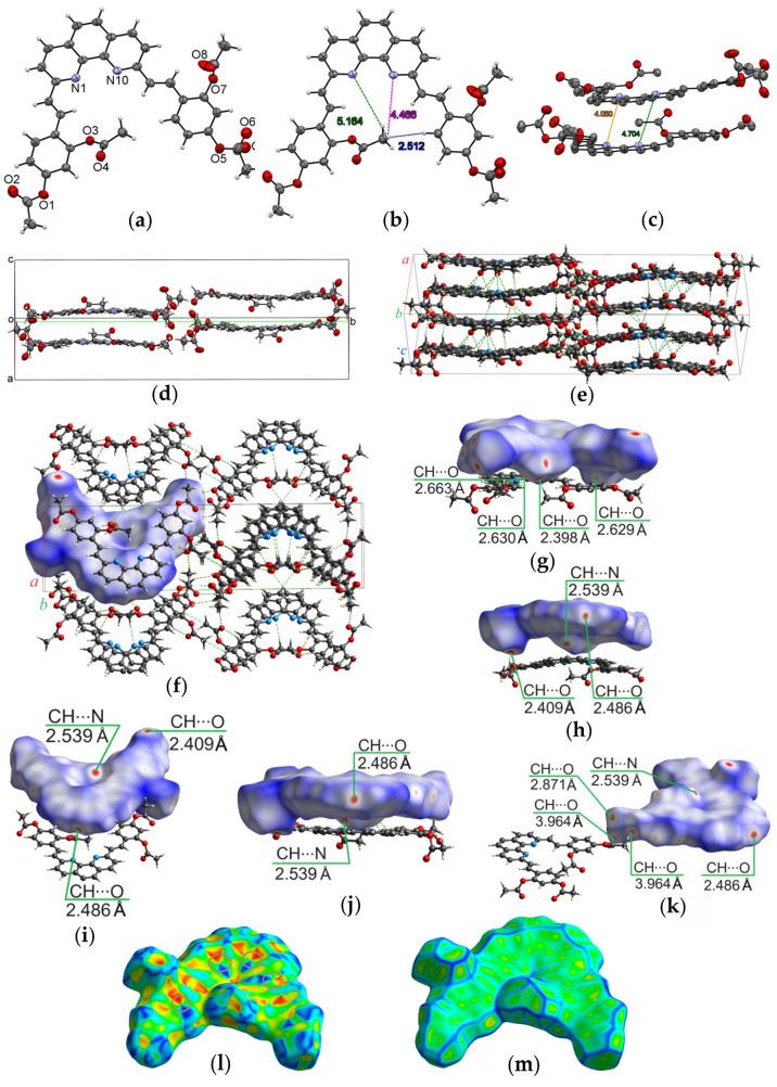
A series of water-soluble molecules based on 8-isopropyl-2-methyl-5-nitroquinoline and 1,10-phenanthroline core were designed by introducing a π-conjugated bridge, vinyl unit -CH=CH-. We present the selective conversion of methyl groups located on the C2 and C9 positions in the constitution of selected quinoline or 1,10-phenanthroline derivatives, respectively, into vinyl (or styryl) products by applying Perkin condensation. The two groups of ligands differ in the presence of one or two arms. The structure of the molecule ((1,1')-(1,10-phenanthroline-2,9-diyl)bis(ethene-2,1-diyl))bis(benzene-4,1,3-triyl) tetraacetate was determined by single-crystal X-ray diffraction measurements. The X-ray, NMR, and DFT computational studies indicate the influence of rotation (rotamers) on the physical properties of studied styryl molecules. The results show that the styryl molecules with the vinyl unit -CH=CH- exhibit significant static and dynamic hyperpolarizabilities. Quantum chemical calculations using density functional theory and B3LYP/6-311++G(d,p) with Grimme's dispersion correction approach predict the existence and relative stability of different spatial (Z)- and (E)-conformers of styryl derivatives of quinoline and 1,10-phenanthroline, which exhibit different electronic distribution and conjugation within the molecular skeleton, dipole moments, and steric interactions, leading to variations in their photophysical behavior and various applications. Our studies indicate that the rotation and isomerization of aryl groups can significantly influence the electronic and optical properties of π-conjugated systems, such as vinyl units (-CH=CH-). The rotation of aryl groups around the single bond that connects them to the vinyl unit can lead to changes in the effective π-conjugation between the aryl group and the rest of the π-conjugated system. The rotation and isomerization of aryl groups in π-conjugated systems significantly impact their electronic and optical properties. These changes can modify the efficiency of π-conjugation, affecting charge transfer processes, absorption properties, light emission, and electrical conductivity. In designing optoelectronic materials, such as organic dyes, organic semiconductors, or electrochromic materials, controlling the rotation and isomerization of aryl groups can be crucial for optimizing their functionality.

摘要

通过引入π共轭桥乙烯基单元-CH=CH-,设计了一系列基于8-异丙基-2-甲基-5-硝基喹啉和1,10-菲咯啉核心的水溶性分子。我们展示了通过珀金缩合反应,将选定喹啉或1,10-菲咯啉衍生物结构中分别位于C2和C9位置的甲基选择性转化为乙烯基(或苯乙烯基)产物。这两组配体在存在一个或两个臂方面有所不同。通过单晶X射线衍射测量确定了分子((1,1')-(1,10-菲咯啉-2,9-二基)双(乙烯-2,1-二基))双(苯-4,1,3-三基)四乙酸酯的结构。X射线、核磁共振和密度泛函理论计算研究表明旋转(旋转异构体)对所研究的苯乙烯基分子物理性质的影响。结果表明,具有乙烯基单元-CH=CH-的苯乙烯基分子表现出显著的静态和动态超极化率。使用密度泛函理论和带有Grimme色散校正方法的B3LYP/6-311++G(d,p)进行的量子化学计算预测了喹啉和1,10-菲咯啉苯乙烯基衍生物不同空间(Z)-和(E)-构象的存在及其相对稳定性,这些构象在分子骨架内表现出不同的电子分布和共轭、偶极矩以及空间相互作用,导致它们的光物理行为和各种应用存在差异。我们的研究表明,芳基的旋转和异构化会显著影响π共轭体系的电子和光学性质,如乙烯基单元(-CH=CH-)。芳基围绕连接它们与乙烯基单元的单键的旋转会导致芳基与π共轭体系其余部分之间有效π共轭的变化。π共轭体系中芳基的旋转和异构化对其电子和光学性质有显著影响。这些变化会改变π共轭的效率,影响电荷转移过程、吸收性质、发光和电导率。在设计光电子材料,如有机染料、有机半导体或电致变色材料时,控制芳基的旋转和异构化对于优化其功能可能至关重要。

https://cdn.ncbi.nlm.nih.gov/pmc/blobs/54c1/12195994/49a9a162d212/molecules-30-02659-sch001.jpg

文献AI研究员

20分钟写一篇综述,助力文献阅读效率提升50倍。

立即体验

用中文搜PubMed

大模型驱动的PubMed中文搜索引擎

马上搜索

文档翻译

学术文献翻译模型,支持多种主流文档格式。

立即体验