Suppr超能文献

转铁蛋白受体靶向肽组合SN-38与鲁卡帕尼偶联物的合成与表征用于胶质母细胞瘤治疗

Synthesis and Characterization of Transferrin Receptor-Targeted Peptide Combination SN-38 and Rucaparib Conjugate for the Treatment of Glioblastoma.

作者信息

Bataille Backer Perpetue, Adesina Simeon Kolawole

机构信息

Department of Pharmaceutical Sciences, College of Pharmacy, Howard University, Washington, DC 20059, USA.

出版信息

Pharmaceutics. 2025 Jun 2;17(6):732. doi: 10.3390/pharmaceutics17060732.

Abstract

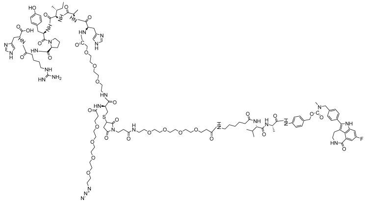
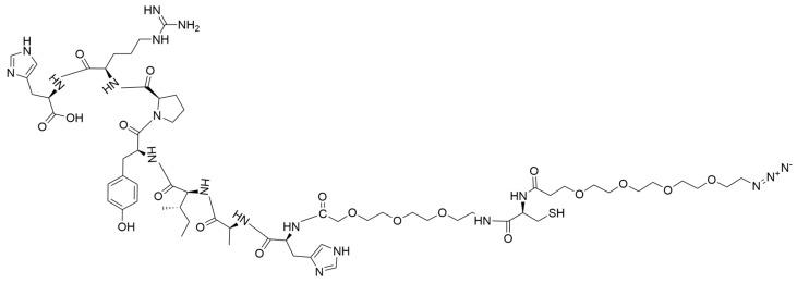
Glioblastoma represents a particularly aggressive and fatal type of brain tumor. Peptide-drug conjugates, which offer the promise of traversing the blood-brain barrier to selectively accumulate in tumor tissues and precisely target cancer cells, are an active area of research. We present the synthesis and characterization of the T7 peptide (HAIYPRH) as a targeting ligand for the transferrin receptor, which is highly expressed on both the blood-brain barrier and glioma cells. : Using the T7 peptide, the synthesis, characterization, and biological evaluation of a transferrin receptor-targeted, combination SN-38 and rucaparib peptide drug conjugate (T7-SN-38-rucaparib) are described. : The T7 peptide drug conjugate readily cleaved in the presence of exogenous cathepsin B, releasing the active drug payloads. In vitro experiments demonstrated potent cytotoxic effects of the T7 peptide drug conjugate on glioblastoma cells (IC = 22.27 nM), with reduced toxicity to non-cancerous HEK 293 cells (IC = 115.78 nM), indicating selective toxicity toward cancer cells. Further investigations revealed that blocking transferrin receptors with drug-free T7 peptide significantly reduced the conjugate's cytotoxicity, an effect that could be reversed by introducing exogenous cathepsin B to the cells. : These findings highlight the potential of glioblastoma-targeted delivery of SN-38 and rucaparib based on specific recognition of the transferrin receptor for transport across the blood-brain barrier, offering the prospect of reduced toxicity and selective killing of cancer cells. Additionally, since rucaparib does not cross the blood-brain barrier, this work is significant to facilitate the use of rucaparib for the treatment of brain tumors.

摘要

胶质母细胞瘤是一种特别具有侵袭性和致命性的脑肿瘤。肽-药物偶联物有望穿越血脑屏障,选择性地在肿瘤组织中积累并精确靶向癌细胞,是一个活跃的研究领域。我们展示了T7肽(HAIYPRH)作为转铁蛋白受体靶向配体的合成与表征,转铁蛋白受体在血脑屏障和胶质瘤细胞上均高表达。:使用T7肽,描述了一种转铁蛋白受体靶向的、联合SN-38和鲁卡帕尼的肽-药物偶联物(T7-SN-38-鲁卡帕尼)的合成、表征及生物学评价。:T7肽-药物偶联物在外源组织蛋白酶B存在下易于裂解,释放出活性药物成分。体外实验表明,T7肽-药物偶联物对胶质母细胞瘤细胞具有强效细胞毒性作用(IC = 22.27 nM),对非癌性HEK 293细胞的毒性降低(IC = 115.78 nM),表明对癌细胞具有选择性毒性。进一步研究发现,用无药物的T7肽阻断转铁蛋白受体可显著降低偶联物的细胞毒性,通过向细胞中引入外源组织蛋白酶B可逆转这一效应。:这些发现突出了基于转铁蛋白受体的特异性识别来靶向递送SN-38和鲁卡帕尼以穿越血脑屏障治疗胶质母细胞瘤的潜力,有望降低毒性并选择性杀死癌细胞。此外,由于鲁卡帕尼不能穿越血脑屏障,这项工作对于促进鲁卡帕尼用于脑肿瘤治疗具有重要意义。

https://cdn.ncbi.nlm.nih.gov/pmc/blobs/75e5/12196469/e2e571713f67/pharmaceutics-17-00732-g001.jpg

文献AI研究员

20分钟写一篇综述,助力文献阅读效率提升50倍。

立即体验

用中文搜PubMed

大模型驱动的PubMed中文搜索引擎

马上搜索

文档翻译

学术文献翻译模型,支持多种主流文档格式。

立即体验