Suppr超能文献

超声参数作为乳腺癌肿瘤分期和侵袭性的生物标志物:与GP73和miR-27a的相关性

Ultrasonic Parameters as Biomarkers for Tumor Staging and Aggressiveness in Breast Cancer: Correlation with GP73 and miR-27a.

作者信息

Tao Zi-Yu, Rong Rong, Zhou Lei-Ping

机构信息

Obstetrics and Gynecology Hospital Fudan University, Shanghai, 200233, People's Republic of China.

Department of Clinical Laboratory, The Second People's Hospital of Hefei, Hefei Hospital Affiliated to Anhui Medical University, Hefei, 230000, People's Republic of China.

出版信息

Int J Gen Med. 2025 Jun 21;18:3313-3321. doi: 10.2147/IJGM.S521769. eCollection 2025.

Abstract

OBJECTIVE

To investigate correlations between CEUS parameters and serum GP73/miR-27a in breast cancer.

METHODS

In the study, 117 highly suspected breast cancer diagnosed and treated in our hospital during March 2022 to April 2024 were included. Meanwhile, pathologic examination was used as the gold standard for diagnosis in this study. The 117 subjects were divided into breast cancer group (69 cases) and non-breast cancer group (48 cases). Both groups underwent contrast-enhanced ultrasound (CEUS), and the parameters of peak intensity (PI), time to peak (TTP), wash-inslope (WIS), gradient (Grad) were recorded. The levels of GP73 and miR-27 in serum of both groups were examined. The relationship between ultrasonography parameters and serum GP73 and miR-27a expression levels was evaluated by correlation analysis.

RESULTS

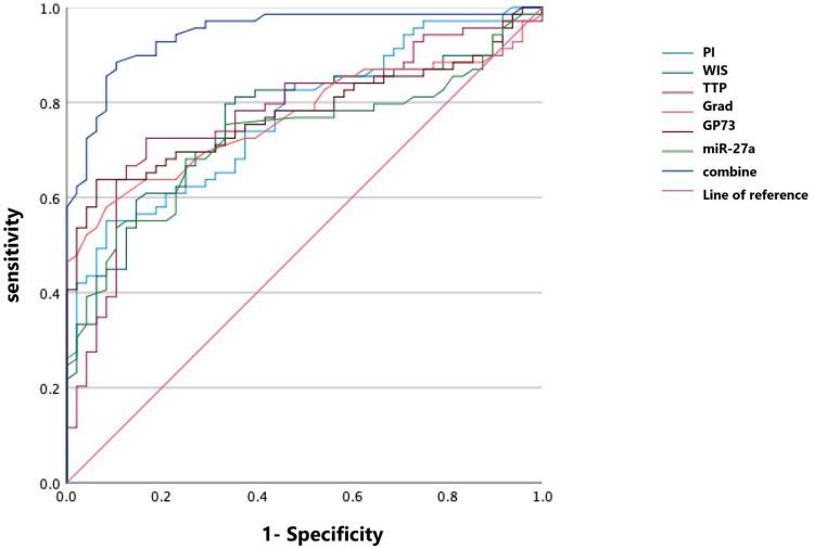
CEUS parameters (PI, WIS, Grad) in cancer patients were significantly higher than benign group (P<0.05), while TTP was lower. GP73 and miR-27a levels were elevated in cancer patients (P<0.05), with stage III-IV showing higher values than stage I-II (P<0.05). GP73 correlated positively with Grad (r=0.330, P=0.006), while miR-27a correlated with WIS (r=0.311, P=0.009) and Grad (r=0.424, P<0.001). ROC analysis revealed AUCs of 0.771-0.776 for individual parameters and 0.945 for combined markers.

CONCLUSION

CEUS parameters and serum GP73/miR-27a levels correlate with breast cancer severity, demonstrating synergistic diagnostic value (AUC=0.945), supporting their combined use for early detection and progression assessment.

摘要

目的

探讨乳腺癌中超声造影(CEUS)参数与血清GP73/miR-27a之间的相关性。

方法

本研究纳入2022年3月至2024年4月期间在我院诊断并治疗的117例高度疑似乳腺癌患者。同时,本研究采用病理检查作为诊断的金标准。将117例受试者分为乳腺癌组(69例)和非乳腺癌组(48例)。两组均接受超声造影(CEUS)检查,记录峰值强度(PI)、达峰时间(TTP)、流入斜率(WIS)、梯度(Grad)等参数。检测两组血清GP73和miR-27水平。通过相关性分析评估超声参数与血清GP73和miR-27a表达水平之间的关系。

结果

癌症患者的CEUS参数(PI、WIS、Grad)显著高于良性组(P<0.05),而TTP较低。癌症患者的GP73和miR-27a水平升高(P<0.05),III-IV期的值高于I-II期(P<0.05)。GP73与Grad呈正相关(r=0.330,P=0.006),而miR-27a与WIS(r=0.311,P=0.009)和Grad(r=0.424,P<0.001)相关。ROC分析显示,单个参数的AUC为0.771-0.776,联合标志物的AUC为0.945。

结论

CEUS参数和血清GP73/miR-27a水平与乳腺癌严重程度相关,具有协同诊断价值(AUC=0.945),支持将它们联合用于早期检测和病情进展评估。

https://cdn.ncbi.nlm.nih.gov/pmc/blobs/3a2d/12198353/e5b094a6c695/IJGM-18-3313-g0001.jpg

文献AI研究员

20分钟写一篇综述,助力文献阅读效率提升50倍。

立即体验

用中文搜PubMed

大模型驱动的PubMed中文搜索引擎

马上搜索

文档翻译

学术文献翻译模型,支持多种主流文档格式。

立即体验