Suppr超能文献

空腹甘油三酯和空腹血糖值正常个体中甘油三酯葡萄糖指数与新发糖尿病的关联:一项基于普通人群的回顾性队列研究

Association of triglyceride glucose index with incident diabetes among individuals with normal fasting triglycerides and fasting plasma glucose values: a general population-based retrospective cohort study.

作者信息

Wang Yongchao, Cheng Tiantian, Zhang Tie, Guo Rubing, Ma Liang, Zhao Wei

机构信息

Department of Clinical Laboratory, China-Japan Friendship Hospital, Beijing, China.

Department of Traditional Chinese Medicine Dermatology, Chaoyang District Taiyanggong Community Health Service Center, Beijing, China.

出版信息

Front Endocrinol (Lausanne). 2025 Jun 16;16:1598171. doi: 10.3389/fendo.2025.1598171. eCollection 2025.

Abstract

INTRODUCTION

The triglyceride glucose (TyG) index has been proposed as a reliable surrogate marker for insulin resistance. Previous studies have demonstrated a significant positive association between the TyG index and diabetes risk. However, whether this association persists among individuals with normal fasting triglyceride (TG) and fasting plasma glucose (FPG) levels remains unclear. This study aims to evaluate the relationship between the TyG index and diabetes in this specific population utilizing a large-scale population-based dataset.

METHODS

A total of 155,337 subjects (74,622 males and 80,715 females) were included in this retrospective cohort study. The TyG index was calculated using the formula: ln [TG (mg/dL) × GLU (mg/dL)/2]. Cox regression analyses were utilized to estimate hazard ratios (HR) and 95% confidence intervals (CI). A generalized additive model (GAM), combined with smooth curve fitting, was employed to investigate potential nonlinear associations. Subgroup analyses were stratified by age, sex, body mass index, and family history of diabetes.

RESULTS

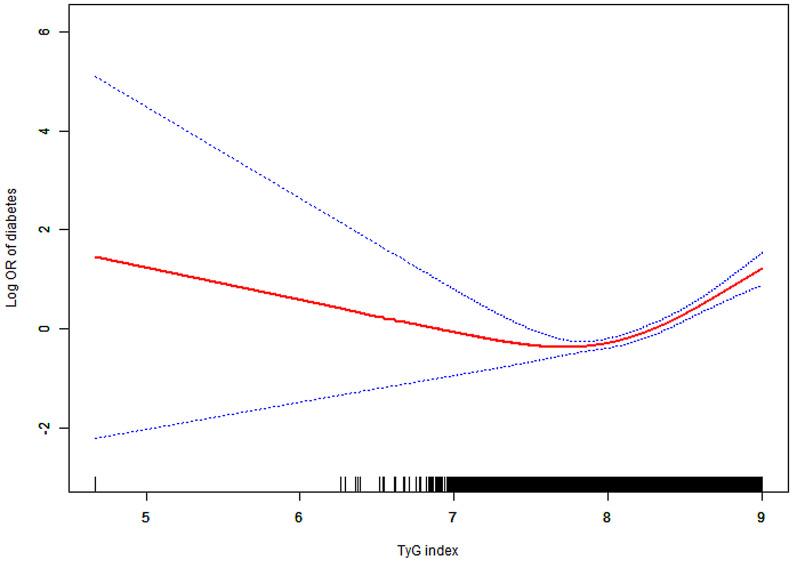
During a 3.13-year mean follow-up, 1127 subjects (0.73%) developed diabetes. After adjusting for confounding variables, subjects in the highest quartile of baseline TyG index exhibited an increased risk of diabetes compared to those in the lowest quartile (adjusted HR: 3.80; 95% CI: 2.41-5.99; P for trend < 0.001). Furthermore, a nonlinear threshold association was identified, with an inflection point at a TyG index value of 8.41. For subjects with a TyG index greater than 8.41, the adjusted HR was 15.33 (95% CI: 7.3-32.2, P < 0.001). Subgroup analysis revealed a stronger positive correlation in individuals aged <60 years.

DISCUSSION

This large-scale study demonstrates a robust independent association between the TyG index and diabetes risk in individuals with normal FPG and TG levels. Our findings suggest that a TyG index exceeding 8.41 correlates with a progressively higher risk of diabetes development. These results collectively suggest the TyG index could serve as a clinically relevant predictor of diabetes incidence in this population.

摘要

引言

甘油三酯葡萄糖(TyG)指数已被提议作为胰岛素抵抗的可靠替代标志物。先前的研究表明TyG指数与糖尿病风险之间存在显著正相关。然而,这种关联在空腹甘油三酯(TG)和空腹血糖(FPG)水平正常的个体中是否持续尚不清楚。本研究旨在利用大规模基于人群的数据集评估该特定人群中TyG指数与糖尿病之间的关系。

方法

本回顾性队列研究共纳入155337名受试者(74622名男性和80715名女性)。TyG指数使用公式计算:ln [TG(mg/dL)×GLU(mg/dL)/2]。采用Cox回归分析估计风险比(HR)和95%置信区间(CI)。采用广义相加模型(GAM)并结合平滑曲线拟合来研究潜在的非线性关联。亚组分析按年龄、性别、体重指数和糖尿病家族史分层。

结果

在平均3.13年的随访期间,1127名受试者(0.73%)患糖尿病。在调整混杂变量后,基线TyG指数最高四分位数的受试者与最低四分位数的受试者相比,患糖尿病的风险增加(调整后HR:3.80;95%CI:2.41 - 5.99;趋势P < 0.001)。此外,确定了一种非线性阈值关联,拐点处TyG指数值为8.41。对于TyG指数大于8.41的受试者,调整后HR为15.33(95%CI:7.3 - 32.2,P < 0.001)。亚组分析显示在年龄<60岁的个体中存在更强的正相关。

讨论

这项大规模研究表明,在FPG和TG水平正常的个体中,TyG指数与糖尿病风险之间存在强有力的独立关联。我们的研究结果表明,TyG指数超过8.41与糖尿病发生风险逐渐升高相关。这些结果共同表明TyG指数可作为该人群中糖尿病发病率的临床相关预测指标。

https://cdn.ncbi.nlm.nih.gov/pmc/blobs/59a8/12206639/14c8e5874e31/fendo-16-1598171-g001.jpg

文献AI研究员

20分钟写一篇综述,助力文献阅读效率提升50倍。

立即体验

用中文搜PubMed

大模型驱动的PubMed中文搜索引擎

马上搜索

文档翻译

学术文献翻译模型,支持多种主流文档格式。

立即体验