Suppr超能文献

牙龈炎症诱导过程中的口腔细菌群落动态变化。

Oral bacterial community dynamics during induction of gingival inflammation.

作者信息

Keijser Bart J F, van den Broek Tim J, van der Wurff Michelle, Dulos Remon, Jagers Ferry, Kool Jolanda, Rosema Martijn, Nicu Elena A, Crielaard Wim, Loos Bruno G, Brandt Bernd W, Zaura Egija

机构信息

Research Group Microbiology and Systems Biology, TNO, Leiden, Netherlands.

Department of Preventive Dentistry, Academic Centre for Dentistry Amsterdam, University of Amsterdam and Vrije Universiteit Amsterdam, Amsterdam, Netherlands.

出版信息

Front Cell Infect Microbiol. 2025 Jun 16;15:1597690. doi: 10.3389/fcimb.2025.1597690. eCollection 2025.

Abstract

INTRODUCTION

The human oral cavity is a complex and dynamic microbial ecosystem integral to oral and overall health. While the specific roles of microbial communities in health and disease are not fully understood, dysbiosis of the oral microbiota is, along with inadequate immune fitness, recognized as a key factor driving the onset of inflammatory conditions such as gingivitis. Gingivitis, an early and reversible stage of periodontal disease, involves shifts in microbial composition and diversity. This study aimed to investigate the compositional dynamics of the oral microbiota during the early stages of gingival inflammation, focusing on changes across multiple oral niches and their relationship to clinical outcomes.

METHODS

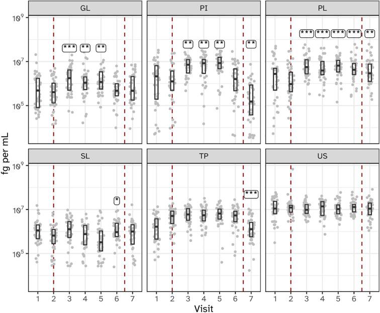
We conducted an experimental gingivitis intervention study with 41 healthy volunteers. After a two-week baseline period, participants refrained from oral hygiene for two weeks to induce gingivitis, followed by a one-week resolution phase with resumed oral hygiene. Clinical parameters, including plaque and bleeding scores, were monitored at seven time points. Samples from saliva and five oral niches (tongue, keratinized gingiva, supragingival, subgingival, and interproximal dental plaque) were collected and analyzed using 16S rRNA gene sequencing. Multivariate statistical analyses were applied to evaluate microbial dynamics and their associations with clinical outcomes.

RESULTS

The study revealed pronounced microbial changes, particularly in supragingival plaque, where and increased while decreased. Alpha diversity significantly increased in supragingival plaque, tongue, and saliva during gingivitis induction, highlighting shifts in microbial complexity. Clinical correlations indicated that plaque presence was primarily associated with bacterial load, while gingival bleeding was driven by compositional changes in supragingival plaque and tongue biofilms. These findings suggest that microbial density and composition independently contribute to gingivitis markers.

CONCLUSION

This study concludes that occurrence of dental plaque and gingival bleeding are independent clinical parameters, linked to bacterial load and composition, respectively. Interactions between multiple niches, especially the tongue, influence clinical outcomes, highlighting a complex, nonlinear dynamic behavior in the oral microbiota. These findings suggest intricate ecological interactions that may approach tipping points, advancing understanding of microbial dynamics during gingival inflammation and informing future strategies for managing gingivitis.

摘要

引言

人类口腔是一个复杂且动态的微生物生态系统,对口腔健康和整体健康至关重要。虽然微生物群落在健康和疾病中的具体作用尚未完全明了,但口腔微生物群失调与免疫功能不足一样,被认为是引发牙龈炎等炎症性疾病的关键因素。牙龈炎是牙周疾病的早期且可逆阶段,涉及微生物组成和多样性的变化。本研究旨在调查牙龈炎症早期阶段口腔微生物群的组成动态,重点关注多个口腔微环境中的变化及其与临床结果的关系。

方法

我们对41名健康志愿者进行了一项实验性牙龈炎干预研究。在为期两周的基线期后,参与者停止口腔卫生护理两周以诱发牙龈炎,随后是为期一周的恢复阶段,恢复口腔卫生护理。在七个时间点监测包括菌斑和出血评分在内的临床参数。收集唾液和五个口腔微环境(舌头、角化牙龈、龈上、龈下和邻面牙菌斑)的样本,并使用16S rRNA基因测序进行分析。应用多变量统计分析来评估微生物动态及其与临床结果的关联。

结果

该研究揭示了明显的微生物变化,尤其是在龈上菌斑中,[具体细菌名称1]和[具体细菌名称2]增加而[具体细菌名称3]减少。在诱发牙龈炎期间,龈上菌斑、舌头和唾液中的α多样性显著增加,突出了微生物复杂性的变化。临床相关性表明,菌斑的存在主要与细菌载量相关,而牙龈出血则由龈上菌斑和舌生物膜的组成变化驱动。这些发现表明微生物密度和组成分别独立地导致牙龈炎标志物的出现。

结论

本研究得出结论,牙菌斑的出现和牙龈出血是独立的临床参数,分别与细菌载量和组成相关。多个微环境之间的相互作用,尤其是舌头,会影响临床结果,突出了口腔微生物群中复杂的非线性动态行为。这些发现表明存在复杂的生态相互作用,可能接近临界点,增进了对牙龈炎症期间微生物动态的理解,并为未来管理牙龈炎的策略提供了信息。

https://cdn.ncbi.nlm.nih.gov/pmc/blobs/b8d5/12206739/8846ea36b545/fcimb-15-1597690-g001.jpg

文献AI研究员

20分钟写一篇综述,助力文献阅读效率提升50倍。

立即体验

用中文搜PubMed

大模型驱动的PubMed中文搜索引擎

马上搜索

文档翻译

学术文献翻译模型,支持多种主流文档格式。

立即体验