Suppr超能文献

社会支持如何影响青少年的自主体育学习?来自链式中介和潜在剖面分析的证据。

How does social support influence autonomous physical learning in adolescents? Evidence from a chain mediation and latent profile analysis.

作者信息

Zhu Jiamin, Huang Ziyou, Meng Xiaoping, Zhang Zhiyong, Yuan Xiaotong

机构信息

Graduate School, Shandong Sport University, Jinan, China.

School of Physical Education, Anqing Normal University, Anqing, China.

出版信息

PLoS One. 2025 Jul 1;20(7):e0327020. doi: 10.1371/journal.pone.0327020. eCollection 2025.

Abstract

PURPOSE

This study examines how social support influences adolescents' autonomous physical learning behavior, exploring the mediating roles of self-efficacy and exercise motivation, and the moderating effects of gender and behavioral typologies. The goal is to provide insights into how social support can enhance adolescents' engagement in physical activities and inform intervention strategies.

METHODS

A total of 2,359 junior high school students (1,208 males and 1,151 females; mean age = 13.21 ± 0.96 years) from three public schools in Shandong Province were surveyed between October and December 2024. Participants completed the Chinese versions of the Perceived Social Support Scale (PSSS), General Self-Efficacy Scale (GSES), Motivation for Physical Activity Measure-Revised (MPAM-R), and Autonomous Physical Learning Behavior Scale (APLBS). Data were analyzed using SPSS 25.0 for descriptive statistics, Pearson correlations, t-tests, one-way ANOVAs, and hierarchical regression; Mplus 8.3 for Latent Profile Analysis (LPA); and AMOS 27.0 for Structural Equation Modeling (SEM) with bootstrapping (10,000 resamples).

RESULTS

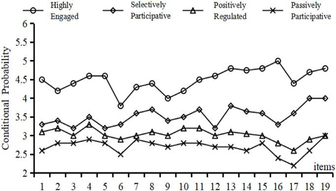
indicated significant positive correlations among social support, self-efficacy, exercise motivation, and autonomous physical learning (all p < .01). Hierarchical regression showed that social support accounted for 27.3% of the variance in autonomous learning behavior (β = 0.524, p < .001), self-efficacy explained an additional 5.8% (β = 0.279, p < .001), and exercise motivation explained a further 4.0% (β = 0.219, p < .001), resulting in a total R2 = 0.373. LPA identified four behavioral profiles-Highly Engaged (26.3%), Positively Regulated (35.7%), Selectively Participative (22.2%), and Passively Participative (15.8%)-with the four-class model demonstrating optimal fit (entropy = 0.921; AIC = 37,951.9; BIC = 38,081.6; BLRT p < .001; LMR p = .0235). SEM results (CMIN/DF = 3.546; GFI = 0.970; CFI = 0.985; TLI = 0.976; NFI = 0.979; RMSEA = 0.060) showed that social support had a direct effect on autonomous learning behavior (β = 0.325, p < .001) and a total indirect effect of 0.191 (total effect = 0.516, p < .001). Specifically, self-efficacy mediated 22.19% (β = 0.114, 95% CI [0.093, 0.137]), exercise motivation mediated 11.18% (β = 0.057, 95% CI [0.043, 0.074]), and the chain pathway (social support → self-efficacy → exercise motivation → learning) accounted for 3.49% (β = 0.018, 95% CI [0.012, 0.024]) of the total effect. Multi-group SEM indicated that the SS → SE → EM mediation path was stronger for females (β = 0.127, 95% CI [0.104, 0.152]) than for males (β = 0.088, 95% CI [0.070, 0.109]). Across latent profiles, the full sequential mediation (SS → SE → EM → APLB) was significant for Positively Regulated (β = 0.074, 95% CI [0.051, 0.101]) and Selectively Participative (β = 0.066, 95% CI [0.042, 0.089]) groups, marginally significant for Passively Participative (β = 0.038, 95% CI [0.015, 0.062]), and non-significant for Highly Engaged (β = 0.013, 95% CI [-0.004, 0.031]).

CONCLUSION

These findings demonstrate that social support enhances adolescents' autonomous physical learning both directly and indirectly through self-efficacy and exercise motivation. Psychological resilience processes accounted for approximately 37.1% of behavioral variance, and gender differences and latent profiles moderated these pathways. Interventions should therefore focus on strengthening perceived support to boost self-efficacy and motivation-especially among female and moderately engaged students-while tailoring strategies to each behavioral profile to foster sustained autonomous learning and lifelong physical activity engagement.Keywords: Machine Learning, Neural Networks, artificial intelligence.

摘要

目的

本研究探讨社会支持如何影响青少年的自主体育学习行为,探究自我效能感和运动动机的中介作用,以及性别和行为类型的调节作用。目标是深入了解社会支持如何增强青少年对体育活动的参与度,并为干预策略提供依据。

方法

2024年10月至12月期间,对山东省三所公立学校的2359名初中生(1208名男生和1151名女生;平均年龄=13.21±0.96岁)进行了调查。参与者完成了中文版的感知社会支持量表(PSSS)、一般自我效能感量表(GSES)、体育活动动机量表修订版(MPAM-R)和自主体育学习行为量表(APLBS)。使用SPSS 25.0进行描述性统计、Pearson相关性分析、t检验、单因素方差分析和层次回归;使用Mplus 8.3进行潜在剖面分析(LPA);使用AMOS 27.0进行结构方程建模(SEM)并进行自抽样(10000次重复抽样)。

结果

结果表明,社会支持、自我效能感、运动动机和自主体育学习之间存在显著的正相关(所有p<0.01)。层次回归显示,社会支持解释了自主学习行为变异的27.3%(β=0.524,p<0.001),自我效能感额外解释了5.8%(β=0.279,p<0.001),运动动机进一步解释了4.0%(β=0.219,p<0.001),总决定系数R2=0.373。LPA识别出四种行为类型——高度参与型(26.3%)、积极调节型(35.7%)、选择性参与型(22.2%)和被动参与型(15.8%)——四类模型显示出最佳拟合(熵=0.921;AIC=37951.9;BIC=38081.6;BLRT p<0.001;LMR p=0.0235)。SEM结果(CMIN/DF=3.546;GFI=0.970;CFI=0.985;TLI=0.976;NFI=0.979;RMSEA=0.060)表明,社会支持对自主学习行为有直接影响(β=0.325,p<0.001),总间接效应为0.191(总效应=0.516,p<0.001)。具体而言,自我效能感介导了22.19%(β=0.114,95%CI[0.093,0.137]),运动动机介导了11.18%(β=0.057,95%CI[0.043,0.074]),链式路径(社会支持→自我效能感→运动动机→学习)占总效应的3.49%(β=0.018,95%CI[0.012,0.024])。多组SEM表明,社会支持→自我效能感→运动动机的中介路径对女性(β=0.127,95%CI[0.104,0.152])比对男性(β=0.088,95%CI[0.070,0.109])更强。在潜在剖面中,完全顺序中介(社会支持→自我效能感→运动动机→自主体育学习行为)对积极调节型(β=0.074,95%CI[0.051,0.101])和选择性参与型(β=0.066,95%CI[0.042,0.089])组显著,对被动参与型(β=0.038,95%CI[0.015,0.062])边缘显著,对高度参与型(β=0.013,95%CI[-0.004,0.031])不显著。

结论

这些发现表明,社会支持通过自我效能感和运动动机直接和间接地增强了青少年的自主体育学习。心理韧性过程约占行为变异的37.1%,性别差异和潜在剖面调节了这些路径。因此,干预措施应侧重于加强感知支持,以提高自我效能感和动机,特别是在女性和中等参与度的学生中,同时根据每种行为类型量身定制策略,以促进持续的自主学习和终身体育活动参与。关键词:机器学习、神经网络、人工智能。

https://cdn.ncbi.nlm.nih.gov/pmc/blobs/d025/12212492/74e1ddea024d/pone.0327020.g001.jpg

文献AI研究员

20分钟写一篇综述,助力文献阅读效率提升50倍。

立即体验

用中文搜PubMed

大模型驱动的PubMed中文搜索引擎

马上搜索

文档翻译

学术文献翻译模型,支持多种主流文档格式。

立即体验