Suppr超能文献

基于晚期肺癌炎症指数及其他相关临床因素的列线图,用于接受同步放化疗的宫颈鳞状细胞癌患者。

Nomogram based on the advanced lung cancer inflammation index and other relevant clinical factors for patients with cervical squamous cell carcinoma undergoing concurrent chemoradiotherapy.

作者信息

Wang Xiao-Chun, Xu Xue-Lian, Wang Shou-Yu, Cheng Hao, Yan Peng-Fei, Yang Ming-Yu

机构信息

Department of Radiotherapy Oncology, The First Affiliated Hospital of Xinxiang Medical University, Xinxiang, Henan, 453100, China.

Department of Pediatric Surgery, The First Affiliated Hospital of Xinxiang Medical University, Xinxiang, Henan, 453100, China.

出版信息

BMC Cancer. 2025 Jul 1;25(1):1043. doi: 10.1186/s12885-025-14465-6.

Abstract

BACKGROUND AND OBJECTIVE

This study aims to explore the association between the advanced lung cancer inflammation index (ALI), the adjusted Charlson Comorbidity Index (ACCI), and other relevant clinical factors and the prognosis of patients with cervical squamous cell carcinoma (CSCC) who undergoing concurrent chemoradiotherapy, and to construct a corresponding prognostic model.

METHODS

A total of 243 patients with CSCC who undergoing concurrent chemoradiotherapy between January 2017 and December 2023 were included in this study. Univariate and multivariate Cox regression analyses were conducted to identify independent prognostic factors influencing progression-free survival (PFS) and overall survival (OS). These independent prognostic factors were subsequently utilized to construct two nomograms, which were then subjected to a comprehensive series of validations. Ultimately, a risk stratification framework was developed to evaluate the prognostic outcomes of patients across varying risk categories.

RESULTS

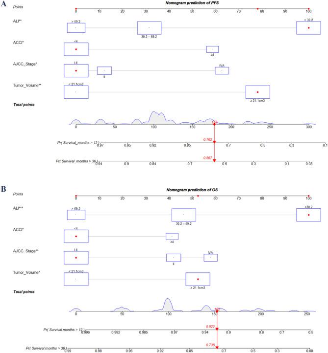
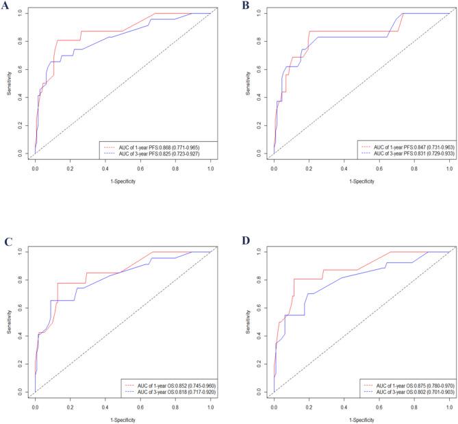
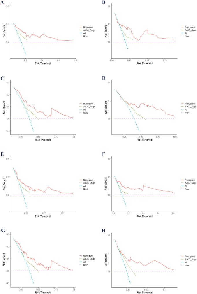
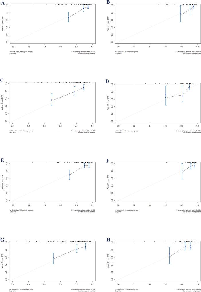
ALI, ACCI, American Joint Committee on Cancer (AJCC) stage, and tumor volume were identified as independent predictors of PFS and OS (all  < 0.05). Based on these independent clinical factors, we developed two distinct nomograms for the prediction of progression-free survival (PFS) and overall survival (OS), respectively. In the training cohort, the C-indexes of the model for PFS and OS were 0.743 and 0.741, respectively; while the corresponding C-indexes were 0.735 and 0.728 in the validation cohort. Following an extensive series of validations, the newly developed nomogram models demonstrated superior performance compared to the traditional AJCC staging system. Based on the total risk points derived from the nomograms, we stratified all patients into three risk subgroups: high-risk, medium-risk, and low-risk. Patients in three distinct risk subgroups exhibited significantly different survival outcomes.

CONCLUSION

ALI has significant value for predicting PFS and OS of CSCC patients who have undergone concurrent chemoradiotherapy. The newly developed nomogram models based on ALI demonstrates robust performance and offers a valuable reference for personalized treatment strategies.

SUPPLEMENTARY INFORMATION

The online version contains supplementary material available at 10.1186/s12885-025-14465-6.

摘要

背景与目的

本研究旨在探讨晚期肺癌炎症指数(ALI)、校正的Charlson合并症指数(ACCI)及其他相关临床因素与接受同步放化疗的宫颈鳞状细胞癌(CSCC)患者预后之间的关联,并构建相应的预后模型。

方法

本研究纳入了2017年1月至2023年12月期间接受同步放化疗的243例CSCC患者。进行单因素和多因素Cox回归分析,以确定影响无进展生存期(PFS)和总生存期(OS)的独立预后因素。随后利用这些独立预后因素构建两个列线图,然后对其进行一系列全面验证。最终,建立了一个风险分层框架,以评估不同风险类别的患者的预后结果。

结果

ALI、ACCI、美国癌症联合委员会(AJCC)分期和肿瘤体积被确定为PFS和OS的独立预测因素(均P<0.05)。基于这些独立临床因素,我们分别开发了两个不同的列线图用于预测无进展生存期(PFS)和总生存期(OS)。在训练队列中,PFS模型和OS模型的C指数分别为0.743和0.741;而在验证队列中,相应的C指数分别为0.735和0.728。经过一系列广泛验证,新开发的列线图模型与传统AJCC分期系统相比表现更优。根据列线图得出的总风险点数,我们将所有患者分为三个风险亚组:高风险、中风险和低风险。三个不同风险亚组的患者表现出显著不同的生存结果。

结论

ALI对预测接受同步放化疗的CSCC患者的PFS和OS具有重要价值。新开发的基于ALI的列线图模型表现稳健,为个性化治疗策略提供了有价值的参考。

补充信息

在线版本包含可在10.1186/s12885-025-14465-6获取的补充材料。

https://cdn.ncbi.nlm.nih.gov/pmc/blobs/f1a6/12210734/d2be71e7868a/12885_2025_14465_Fig1_HTML.jpg

文献AI研究员

20分钟写一篇综述,助力文献阅读效率提升50倍。

立即体验

用中文搜PubMed

大模型驱动的PubMed中文搜索引擎

马上搜索

文档翻译

学术文献翻译模型,支持多种主流文档格式。

立即体验