Suppr超能文献

体重过轻与潜伏性结核感染成人的死亡率增加有关。

Underweight was associated with increased mortality in adults with latent tuberculosis infection.

作者信息

Liao Jun-Zhe, Liu Xiao, Qi Min

机构信息

Department of Respiratory and Critical Care Medicine, Chengdu Fifth People's Hospital, Chengdu, China.

Department of Geriatric Intensive Care Unit, Sichuan Provincial People's Hospital, University of Electronic Science and Technology of China, Chengdu, China.

出版信息

Front Nutr. 2025 Jun 24;12:1607507. doi: 10.3389/fnut.2025.1607507. eCollection 2025.

Abstract

OBJECTIVE

Latent tuberculosis (TB) infection (LTBI) is a reservoir for active TB. Although body mass index (BMI) predicts LTBI progression and influences active TB outcomes, its association with mortality in LTBI patients remains unclear. We therefore investigated this relationship in a US cohort.

RESEARCH METHODS & PROCEDURES: Data from the National Health and Nutrition Examination Survey 2011-2012 was utilized. Survival differences across BMI categories were assessed with Kaplan-Meier curves and multivariable Cox regression. The Restricted Cubic Spline (RCS) analysis modeled the nonlinear relationship between BMI and mortality risk.

RESULTS

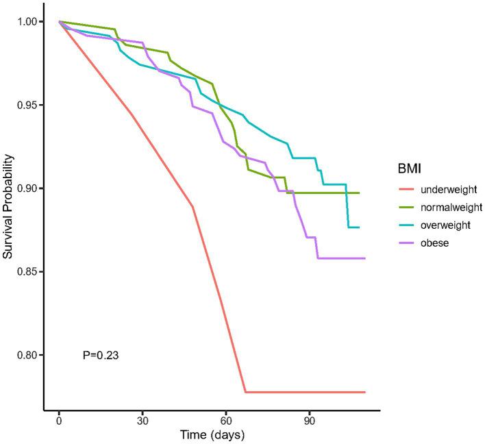
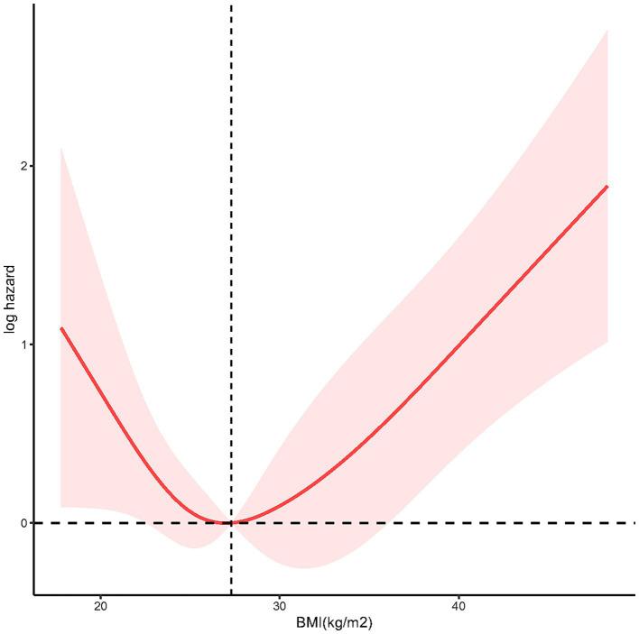
Among 700 LTBI participants analyzed, multivariable Cox regression identified underweight individuals as having higher mortality risk than normalweight counterparts (adjusted HR = 2.77, 95% CI 1.06-7.22, = 0.04). No significant mortality associations were observed for obese or overweight participants across both crude and adjusted models (all > 0.05). RCS analysis demonstrated a U-shaped pattern between BMI and mortality, with minimum mortality risk at BMI 27.3 kg/m ( for nonlinearity = 0.0012).

CONCLUSION

In LTBI adults, underweight status independently predicted increased mortality risk, while overweight or obesity showed no association. RCS analysis confirmed a U-shaped BMI-mortality relationship with optimal survival at 27.3 kg/m.

摘要

目的

潜伏性结核感染(LTBI)是活动性结核病的一个储存库。虽然体重指数(BMI)可预测LTBI的进展并影响活动性结核病的结局,但其与LTBI患者死亡率的关联仍不明确。因此,我们在美国一个队列中研究了这种关系。

研究方法与步骤

利用了2011 - 2012年美国国家健康与营养检查调查的数据。通过Kaplan-Meier曲线和多变量Cox回归评估不同BMI类别之间的生存差异。限制立方样条(RCS)分析模拟了BMI与死亡风险之间的非线性关系。

结果

在分析的700名LTBI参与者中,多变量Cox回归确定体重过轻的个体比正常体重的个体具有更高的死亡风险(调整后风险比[HR] = 2.77,95%置信区间[CI] 1.06 - 7.22,P = 0.04)。在粗模型和调整模型中,肥胖或超重参与者均未观察到显著的死亡关联(所有P>0.05)。RCS分析表明BMI与死亡率之间呈U形模式,BMI为27.3kg/m²时死亡风险最低(非线性检验P = 0.0012)。

结论

在LTBI成人中,体重过轻状态独立预测死亡风险增加,而超重或肥胖则无关联。RCS分析证实了BMI与死亡率之间呈U形关系,BMI为27.3kg/m²时生存最佳。

https://cdn.ncbi.nlm.nih.gov/pmc/blobs/d678/12234320/8093319389d8/fnut-12-1607507-g001.jpg

文献AI研究员

20分钟写一篇综述,助力文献阅读效率提升50倍。

立即体验

用中文搜PubMed

大模型驱动的PubMed中文搜索引擎

马上搜索

文档翻译

学术文献翻译模型,支持多种主流文档格式。

立即体验