Suppr超能文献

质子泵抑制剂的使用对接受免疫检查点抑制剂治疗的癌症患者无进展生存期和总生存期的影响:近期研究的系统评价和荟萃分析

Impact of Proton Pump Inhibitor Use on Progression-Free and Overall Survival in Cancer Patients Undergoing Immune Checkpoint Inhibitor Therapy: A Systematic Review and Meta-Analysis of Recent Studies.

作者信息

Ciappina Giuliana, Ottaiano Alessandro, Santorsola Mariachiara, Esposito Emanuela, De Luca Fabiola, Giorgi Carlotta, Zito Concetta, Capra Anna Paola, Carroccio Patrizia, Maurea Nicola, Quagliariello Vincenzo, Campo Irene, Passalacqua Maria Ilenia, Incognito Dalila, Cacciola Irene, Consolo Pierluigi, Berretta Massimiliano

机构信息

Department of Medical Sciences, Section of Experimental Medicine, University of Ferrara, 44121 Ferrara, Italy.

Division of Innovative Therapies for Abdominal Metastases, Istituto Nazionale Tumori IRCCS Fondazione G. Pascale, 80131 Naples, Italy.

出版信息

Cancers (Basel). 2025 Jul 3;17(13):2228. doi: 10.3390/cancers17132228.

Abstract

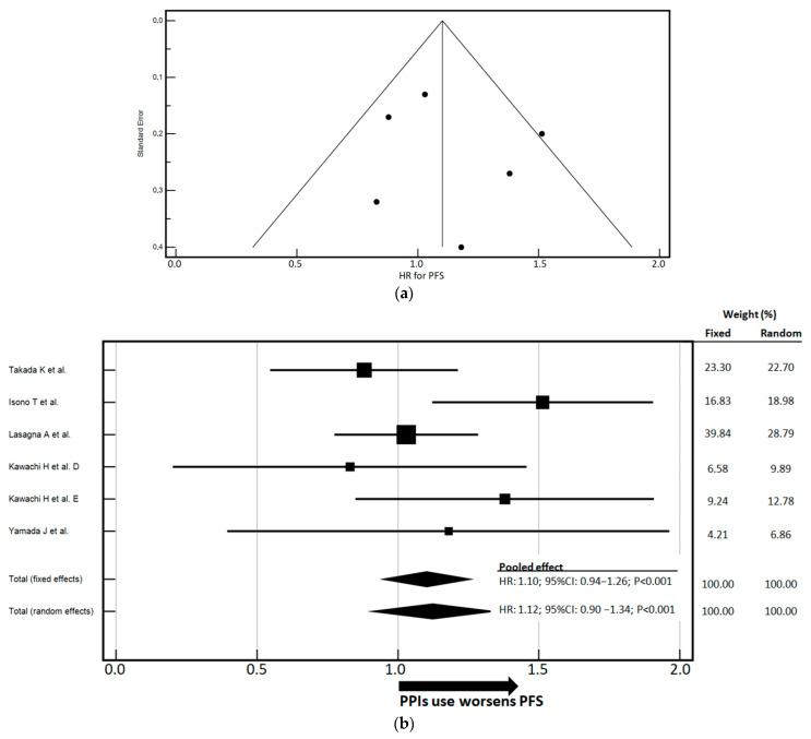
: The introduction of immunotherapy has significantly improved survival outcomes in many solid tumors. However, a subset of patients exhibits limited responsiveness to immune checkpoint inhibitors (ICIs). Emerging evidence indicates that the gut microbiota plays a critical role in modulating the effectiveness of immunotherapy. Consequently, the concurrent use of certain medications that disrupt microbial diversity may contribute to reduced treatment efficacy. Among the agents implicated in altering the gut microbiota are antibiotics and proton pump inhibitors (PPIs). : A systematic literature search was conducted in PubMed, Scopus, and EMBASE. Eligible studies assessed the association between PPI use and progression-free survival (PFS) and/or overall survival (OS) in patients with solid tumors receiving ICIs. They reported hazard ratios (HRs) with 95% confidence intervals (CIs). The analysis focused on studies published between November 2022 and January 2025, in continuity with prior comprehensive meta-analyses that included studies up to November 2022. This contiguity-based approach enabled a focused evaluation of recent evidence, minimizing redundancy while allowing for the detection of evolving trends in clinical practice and methodology. Data were synthesized using both fixed-effects and random-effects models and visualized via Forest plots. Study quality was assessed using the Methodological Index for Non-Randomized Studies (MINORS) and the Newcastle-Ottawa Scale (NOS). Between-study heterogeneity and publication bias were evaluated using I statistics and funnel plots. : From a pool of over 400 screened articles between November 2022 and January 2025, seven studies met the inclusion criteria. The PFS analysis incorporated data from 1367 participants, while the OS analysis included 10,420 individuals. Use of PPIs was linked to a 12% higher risk of disease progression (HR = 1.12; 95% CI: 0.90-1.34) and an 18% increased mortality risk (HR = 1.18; 95% CI: 1.11-1.25). : The observed association between PPIs exposure and reduced efficacy of ICIs, as reflected in worsened PFS and OS outcomes, highlights a potential clinical concern that merits further investigation in prospective studies.

摘要

免疫疗法的引入显著改善了许多实体瘤的生存结果。然而,一部分患者对免疫检查点抑制剂(ICI)的反应有限。新出现的证据表明,肠道微生物群在调节免疫疗法的有效性方面起着关键作用。因此,同时使用某些破坏微生物多样性的药物可能会导致治疗效果降低。与改变肠道微生物群有关的药物包括抗生素和质子泵抑制剂(PPI)。

在PubMed、Scopus和EMBASE中进行了系统的文献检索。符合条件的研究评估了使用PPI与接受ICI的实体瘤患者的无进展生存期(PFS)和/或总生存期(OS)之间的关联。这些研究报告了带有95%置信区间(CI)的风险比(HR)。分析重点关注2022年11月至2025年1月期间发表的研究,与之前截至2022年11月的综合荟萃分析保持连续性。这种基于连续性的方法能够对近期证据进行有针对性的评估,最大限度地减少冗余,同时允许检测临床实践和方法学中不断变化的趋势。数据使用固定效应模型和随机效应模型进行综合,并通过森林图进行可视化。使用非随机研究方法学指数(MINORS)和纽卡斯尔-渥太华量表(NOS)评估研究质量。使用I统计量和漏斗图评估研究间异质性和发表偏倚。

在2022年11月至2025年1月期间筛选的400多篇文章中,有7项研究符合纳入标准。PFS分析纳入了1367名参与者的数据,而OS分析包括10420人。使用PPI与疾病进展风险高12%(HR = 1.12;95% CI:0.90 - 1.34)和死亡风险增加18%(HR = 1.18;95% CI:1.11 - 1.25)相关。

PPI暴露与ICI疗效降低之间的观察到的关联,如PFS和OS结果恶化所反映的,突出了一个潜在的临床问题,值得在前瞻性研究中进一步调查。

https://cdn.ncbi.nlm.nih.gov/pmc/blobs/c679/12248532/667c11fd04da/cancers-17-02228-g001.jpg

文献AI研究员

20分钟写一篇综述,助力文献阅读效率提升50倍。

立即体验

用中文搜PubMed

大模型驱动的PubMed中文搜索引擎

马上搜索

文档翻译

学术文献翻译模型,支持多种主流文档格式。

立即体验