Suppr超能文献

糖尿病患者中心血管代谢综合征表型与心血管风险指标的相互作用

The Interplay of Cardiometabolic Syndrome Phenotypes and Cardiovascular Risk Indices in Patients Diagnosed with Diabetes Mellitus.

作者信息

Mitroi Sakizlian Daniela Denisa, Boldeanu Lidia, Mitrea Adina, Clenciu Diana, Vladu Ionela Mihaela, Ciobanu Plasiciuc Alina Elena, Șarla Andra Veronica, Siloși Isabela, Boldeanu Mihail Virgil, Assani Mohamed-Zakaria, Ciobanu Daniela

机构信息

Doctoral School, University of Medicine and Pharmacy of Craiova, 200349 Craiova, Romania.

Department of Microbiology, Faculty of Medicine, University of Medicine and Pharmacy of Craiova, 200349 Craiova, Romania.

出版信息

Int J Mol Sci. 2025 Jun 27;26(13):6227. doi: 10.3390/ijms26136227.

Abstract

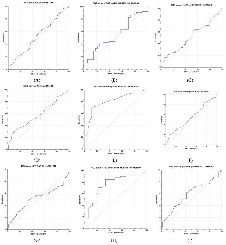
Metabolic syndrome (MetS) and its associated cardiometabolic phenotypes significantly contribute to the global burden of cardiovascular disease (CVD), especially in individuals with type 2 diabetes mellitus (T2DM) and prediabetes. This study aimed to explore the association between cardiometabolic phenotypes-specifically, metabolically unhealthy normal weight (MUHNW) and metabolically unhealthy obese (MUHO)-and various cardiovascular risk indices including the triglyceride-glucose (TyG) index and its derivatives, the atherogenic index of plasma (AIP), the cardiometabolic index (CMI), and the cardiac risk ratio (CRR). A total of 300 participants were evaluated (100 with prediabetes and 200 with T2DM). Anthropometric, biochemical, and lifestyle parameters were assessed and stratified across phenotypes. The results demonstrated that cardiovascular risk indices were significantly elevated in the MUHO compared to MUHNW phenotypes, with T2DM patients consistently exhibiting higher risk profiles than their prediabetic counterparts. TyG-derived indices showed strong correlations with BMI, waist-hip ratio (WHR), waist-height ratio (WHtR), and body fat percentage (%BF). The findings suggest that cardiometabolic phenotypes are more strongly associated with elevated cardiometabolic risk indices than body weight alone. These indices may enhance early risk stratification and intervention efforts. The study investigates the association of cardiometabolic phenotypes with surrogate cardiovascular risk indices, not direct CVD outcomes, However, the cross-sectional design and population homogeneity limit the generalizability of the results and preclude causal inference.

摘要

代谢综合征(MetS)及其相关的心脏代谢表型显著加重了全球心血管疾病(CVD)负担,尤其是在2型糖尿病(T2DM)和糖尿病前期个体中。本研究旨在探讨心脏代谢表型(具体而言,代谢不健康的正常体重(MUHNW)和代谢不健康的肥胖(MUHO))与各种心血管风险指标之间的关联,这些指标包括甘油三酯-葡萄糖(TyG)指数及其衍生指标、血浆致动脉粥样硬化指数(AIP)、心脏代谢指数(CMI)和心脏风险比(CRR)。总共评估了300名参与者(100名糖尿病前期患者和200名T2DM患者)。对人体测量学、生化和生活方式参数进行了评估,并按表型进行分层。结果表明,与MUHNW表型相比,MUHO表型的心血管风险指标显著升高,T2DM患者的风险特征始终高于糖尿病前期患者。TyG衍生指标与体重指数(BMI)、腰臀比(WHR)、腰高比(WHtR)和体脂百分比(%BF)密切相关。研究结果表明,心脏代谢表型与升高的心脏代谢风险指标之间的关联比单纯体重更为密切。这些指标可能会加强早期风险分层和干预措施。本研究调查了心脏代谢表型与替代心血管风险指标之间的关联,而非直接的CVD结局。然而,横断面设计和人群同质性限制了结果的普遍性,无法进行因果推断。

https://cdn.ncbi.nlm.nih.gov/pmc/blobs/c399/12249924/1857addfc63f/ijms-26-06227-g001.jpg

文献AI研究员

20分钟写一篇综述,助力文献阅读效率提升50倍。

立即体验

用中文搜PubMed

大模型驱动的PubMed中文搜索引擎

马上搜索

文档翻译

学术文献翻译模型,支持多种主流文档格式。

立即体验