Suppr超能文献

施罗斯疗法对青少年特发性脊柱侧弯的有效性:一项荟萃分析。

Effectiveness of Schroth exercises for adolescent idiopathic scoliosis: a meta-analysis.

作者信息

Zhu Yinfang, Zhu Caiying, Song Haiping, Zhang Manyan

机构信息

Affiliated Hospital of Shaoxing University, Shaoxing, Zhejiang, China.

出版信息

PeerJ. 2025 Jul 8;13:e19639. doi: 10.7717/peerj.19639. eCollection 2025.

Abstract

BACKGROUND

Adolescent idiopathic scoliosis (AIS) affects 2-3% of children aged 10 to 18 and can lead to both physical and psychological challenges. This review aims to evaluate the impact of Schroth exercises on Cobb angle, angle of trunk rotation, and quality of life in patients with AIS.

METHODS

A comprehensive search was conducted across Scopus, PubMed, CINAHL, Chinese National Knowledge Infrastructure, Cochrane Central, and ClinicalTrials.gov databases, identifying 11 randomized controlled trials (RCTs) with a total of 446 participants. These studies, primarily conducted in Asia and North America, compared the effects of Schroth exercises with either no treatment or alternative physical exercise interventions (standard physiotherapy regimens or non-specific exercise-based rehabilitation programs). Data were pooled using a random-effects model, and the quality of evidence was assessed using the Grading of Recommendations, Assessment, Development, and Evaluations (GRADE) approach.

RESULTS

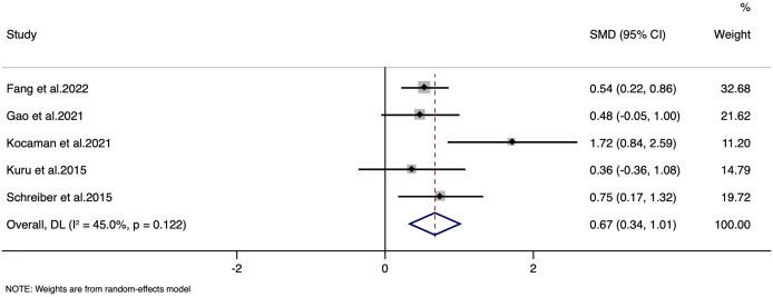
Meta-analysis showed that Schroth exercises were associated with a significant reduction in Cobb angle (standardized mean difference (SMD): -0.54; 95% confidence interval (CI) [-0.81 to -0.27]; < 0.001). However, no significant effect was observed on the angle of trunk rotation (SMD: -0.90; 95% CI [-2.45 to 0.65]; = 0.254). A significant improvement in quality of life was also noted (SMD: 0.67; 95% CI [0.33-1.01]; < 0.001). The quality of evidence ranged from moderate to low.

CONCLUSIONS

Although Schroth exercises were associated with a reduction in Cobb angle, the average change did not meet the conventional five-degree threshold considered clinically significant, and the analysis did not account for the natural progression of spinal curvature. Rather than asserting a definitive benefit, this review highlights significant methodological limitations in the current literature.PROSPERO registration number: CRD42024505289.

摘要

背景

青少年特发性脊柱侧凸(AIS)影响2%至3%的10至18岁儿童,并可能导致身体和心理挑战。本综述旨在评估施罗斯疗法对AIS患者的Cobb角、躯干旋转角度和生活质量的影响。

方法

在Scopus、PubMed、CINAHL、中国知网、Cochrane中心和ClinicalTrials.gov数据库中进行了全面检索,确定了11项随机对照试验(RCT),共有446名参与者。这些研究主要在亚洲和北美进行,比较了施罗斯疗法与不治疗或替代体育锻炼干预(标准物理治疗方案或非特定的基于运动的康复计划)的效果。使用随机效应模型汇总数据,并使用推荐分级、评估、制定和评价(GRADE)方法评估证据质量。

结果

荟萃分析表明,施罗斯疗法与Cobb角显著减小相关(标准化均值差(SMD):-0.54;95%置信区间(CI)[-0.81至-0.27];P<0.001)。然而,未观察到对躯干旋转角度有显著影响(SMD:-0.90;95%CI[-2.45至0.65];P = 0.254)。生活质量也有显著改善(SMD:0.67;95%CI[0.33 - 1.01];P<0.001)。证据质量从中度到低度不等。

结论

尽管施罗斯疗法与Cobb角减小相关,但平均变化未达到临床上认为具有显著意义的传统五度阈值,且分析未考虑脊柱弯曲的自然进展。本综述并未断言有明确益处,而是强调了当前文献中存在的重大方法学局限性。

国际前瞻性系统评价注册库(PROSPERO)注册号:CRD42024505289。

https://cdn.ncbi.nlm.nih.gov/pmc/blobs/86e4/12248227/46af91073399/peerj-13-19639-g001.jpg

文献AI研究员

20分钟写一篇综述,助力文献阅读效率提升50倍。

立即体验

用中文搜PubMed

大模型驱动的PubMed中文搜索引擎

马上搜索

文档翻译

学术文献翻译模型,支持多种主流文档格式。

立即体验