Suppr超能文献

胰岛素抵抗相关脂质指标与关节炎之间的关联:一项美国横断面研究。

Association between insulin resistance-related lipid indices and arthritis: a U. S. cross-sectional study.

作者信息

Wu Ao, Teng Haodong, Wang Xiaoxia, Shi Ketao, Gao Zhi, Xu Honghao, Yue Liang

机构信息

The First Clinical College of Shandong University of Traditional Chinese Medicine, Jinan, China.

Zhongshan Medical College of Sun Yat-sen University, Guangzhou, China.

出版信息

Front Nutr. 2025 Jul 2;12:1583598. doi: 10.3389/fnut.2025.1583598. eCollection 2025.

Abstract

OBJECTIVES

Arthritis is a degenerative disease that causes a huge social burden. Lipid-related molecules participate in the inflammatory response process of arthritis and are closely related to the pathological process of arthritis. Lipid-related indicators are easily available and have great potential in predicting arthritis. This study used cross-sectional data to explore lipid-related indicators and arthritis risk.

METHODS

18,683 participants were involved in this study, selected from the NHANES database covering the period from 2001 to 2018. The study utilized multivariate regression models to examine the association between various lipid-related parameters (including the TyG index, TyG-WC index, TyG-WHtR index, TyG-BMI index, HOMA-IR index, VAI index, and LAP index) and arthritis.

RESULTS

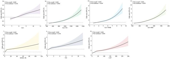
After taking into account and appropriately addressing potential confounding variables and factors, all seven lipid-related indicators were positively associated with arthritis risk, and there was a significant difference in the highest quartile of seven lipid-related indicators compared with the lowest quartile ( < 0.001). Among them, the area under the ROC curve (AUC) of TyG-WC, TyG-WHtR, TyG-BMI, and LAP was >0.6, indicating they had modest accuracy in predicting arthritis. Logistic regression analysis showed that the best Cut-off values for predicting arthritis for these indicators were as follows: TyG: 8.45 [Odds ratio (95% Cl) = 1.77 (1.62, 1.94)]; TyG-WC: 850.39 [Odds ratio (95% Cl) = 1.36 (1.24, 1.49)]; TyG-WHtR: 4.97 [Odds ratio (95% Cl) = 2.39 (2.17, 2.63)]; TyG-BMI: 255.24 [Odds ratio (95% Cl) = 1.87 (1.71, 2.05)]; HOMA-IR: 2.79 [Odds ratio (95% Cl) = 1.51 (1.39, 1.65)]; VAI: 1.35 [Odds ratio (95% Cl) = 1.60 (1.47, 1.75)]; LAP: 33.46 [Odds ratio (95% Cl) = 1.20 (1.09, 1.31)], both -values are < 0.001.

CONCLUSIONS

The results showed that seven lipid-related markers were positively associated with arthritis risk. Enhancing the management of glucose, lipids, and insulin sensitivity may significantly reduce the risk of arthritis.

摘要

目的

关节炎是一种导致巨大社会负担的退行性疾病。脂质相关分子参与关节炎的炎症反应过程,且与关节炎的病理过程密切相关。脂质相关指标易于获取,在预测关节炎方面具有巨大潜力。本研究使用横断面数据来探索脂质相关指标与关节炎风险。

方法

本研究纳入了18,683名参与者,选自涵盖2001年至2018年期间的美国国家健康与营养检查调查(NHANES)数据库。该研究利用多元回归模型来检验各种脂质相关参数(包括TyG指数、TyG-WC指数、TyG-WHtR指数、TyG-BMI指数、HOMA-IR指数、VAI指数和LAP指数)与关节炎之间的关联。

结果

在考虑并适当处理潜在的混杂变量和因素后,所有七个脂质相关指标均与关节炎风险呈正相关,并且七个脂质相关指标的最高四分位数与最低四分位数相比存在显著差异(<0.001)。其中,TyG-WC、TyG-WHtR、TyG-BMI和LAP的ROC曲线下面积(AUC)>0.6,表明它们在预测关节炎方面具有一定的准确性。逻辑回归分析显示,这些指标预测关节炎的最佳截断值如下:TyG:8.45 [比值比(95%置信区间)=1.77(1.62, 1.94)];TyG-WC:850.39 [比值比(95%置信区间)=1.36(1.24, 1.49)];TyG-WHtR:4.97 [比值比(95%置信区间)=2.39(2.17, 2.63)];TyG-BMI:255.24 [比值比(95%置信区间)=1.87(1.71, 2.05)];HOMA-IR:

https://cdn.ncbi.nlm.nih.gov/pmc/blobs/fa48/12263402/93ff38a3d1f5/fnut-12-1583598-g0001.jpg

文献AI研究员

20分钟写一篇综述,助力文献阅读效率提升50倍。

立即体验

用中文搜PubMed

大模型驱动的PubMed中文搜索引擎

马上搜索

文档翻译

学术文献翻译模型,支持多种主流文档格式。

立即体验