Suppr超能文献

一项回顾性真实世界单臂研究,评估新辅助化疗对特定局限期小细胞肺癌患者的疗效和安全性。

A retrospective real-world single-arm study evaluating the efficacy and safety of neoadjuvant chemotherapy in patients with selected limited-stage small-cell lung cancer.

作者信息

Zhang Wengang, Li Yujie, Nie Jing, Zhao Wencheng, Guo Zhiyi, Li Shunjia, Zhang Qianqian, Bo Bing, Chen Xuyang, Ye Li, Chen Zhimin, Wang Hao, Xu Kandi, Zhao Lishu, Liu Xinyue, Liu Yujin, Li Yuhang, Huang Lihua, He Yayi

机构信息

Department of Medical Oncology, Shanghai Pulmonary Hospital, School of Medicine, Tongji University, Shanghai, China.

Department of Thoracic Surgery, Shanghai Pulmonary Hospital, School of Medicine, Tongji University, Shanghai, China.

出版信息

Transl Lung Cancer Res. 2025 Jun 30;14(6):2031-2046. doi: 10.21037/tlcr-2025-209. Epub 2025 Jun 26.

Abstract

BACKGROUND

With the advancement of surgical techniques and the introduction of neoadjuvant therapies, the risk of recurrence or distant metastases has been significantly decreased for non-small-cell lung cancer (non-SCLC) after surgery. In recent years, the application of these advanced techniques and therapies in SCLC has also shown promise. This study aims to explore the efficacy and safety of neoadjuvant chemotherapy combined with surgery in selected limited-stage SCLC (LS-SCLC).

METHODS

In this retrospective, single-arm clinical trial, we conducted a thorough review of electronic medical records from the Shanghai Pulmonary Hospital between December 2015 and December 2022. Patients with a pathological diagnosis of SCLC who underwent neoadjuvant chemotherapy followed by radical surgery were enrolled. Baseline demographic and clinical characteristics, specifics of neoadjuvant therapy and surgery, survival outcomes, and safety profiles of included patients were systematically collected and analyzed.

RESULTS

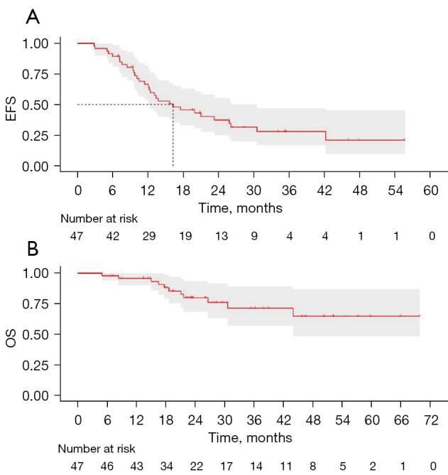
A total of 47 patients [7 (14.89%) females and 40 (85.11%) males; median age 61.00 years, interquartile range (IQR), 55.50-67.50 years] were enrolled. The disease control rate was 100%, with an objective response rate of 70.21% and a downstaging rate of 65.9%. The percentage of patients with a complete pathological response (CPR) and major pathological response (MPR) was 10.64% (5/47) and 12.77% (6/47, excluding CPR), respectively. In subgroups stratified by baseline demographic and clinical characteristics, the MPR rate showed no significant differences, yet a trend toward higher MPR was observed among smoking patients. At the data cutoff (October 2, 2024), the median follow-up period was 35.367 months [IQR, 26.367 months-not reached (NR)]. The median event-free survival (EFS) was 16.27 months [95% confidence interval (CI): 12.20-30.53] and the median overall survival (OS) was NR, with 2-, 3-, and 4-year survival rates of 79.96% (95% CI: 68.36-93.52%), 71.39% (95% CI: 57.12-89.22%), and 64.90% (95% CI: 48.52-86.82%), respectively. The stratified analysis revealed that patients achieving an MPR and those undergoing postoperative adjuvant radiotherapy exhibited longer EFS and OS. Treatment-related adverse events of grade 3-4 were observed in 21.28% of patients, with the most frequent occurrences being a decrease in neutrophil count (12.77%), followed by a decrease in platelet count (8.51%), and a decrease in white blood cell count (4.26%).

CONCLUSIONS

Neoadjuvant chemotherapy combined with surgery could be a potential treatment strategy for LS-SCLC, with a high proportion of patients achieving an MPR, and manageable safety profile, that did not compromise surgical resection. Further prospective clinical trials are warranted to delineate the benefits of neoadjuvant chemotherapy and optimize LS-SCLC treatment.

摘要

背景

随着手术技术的进步和新辅助治疗的引入,非小细胞肺癌(non-SCLC)术后复发或远处转移的风险已显著降低。近年来,这些先进技术和治疗方法在小细胞肺癌(SCLC)中的应用也显示出前景。本研究旨在探讨新辅助化疗联合手术治疗特定局限期小细胞肺癌(LS-SCLC)的疗效和安全性。

方法

在这项回顾性单臂临床试验中,我们对上海肺科医院2015年12月至2022年12月的电子病历进行了全面审查。纳入经病理诊断为SCLC且接受新辅助化疗后行根治性手术的患者。系统收集并分析纳入患者的基线人口统计学和临床特征、新辅助治疗和手术的具体情况、生存结局及安全性。

结果

共纳入47例患者[7例(14.89%)女性,40例(85.11%)男性;中位年龄61.00岁,四分位间距(IQR)为55.50 - 67.50岁]。疾病控制率为100%,客观缓解率为70.21%,降期率为65.9%。完全病理缓解(CPR)和主要病理缓解(MPR)的患者比例分别为10.64%(5/47)和12.77%(6/47,不包括CPR)。在按基线人口统计学和临床特征分层的亚组中,MPR率无显著差异,但吸烟患者中MPR有升高趋势。在数据截止时(2024年10月2日),中位随访期为35.367个月[IQR,26.367个月 - 未达到(NR)]。中位无事件生存期(EFS)为16.27个月[95%置信区间(CI):12.20 - 30.53],中位总生存期(OS)未达到,2年、3年和4年生存率分别为79.96%(95% CI:68.36 - 93.52%)、71.39%(95% CI:57.12 - 89.22%)和64.90%(95% CI:48.52 - 86.82%)。分层分析显示,达到MPR的患者和接受术后辅助放疗的患者EFS和OS更长。21.28%的患者发生3 - 4级治疗相关不良事件,最常见的是中性粒细胞计数减少(12.77%),其次是血小板计数减少(8.51%)和白细胞计数减少(4.26%)。

结论

新辅助化疗联合手术可能是LS-SCLC的一种潜在治疗策略。该策略使相当比例的患者达到MPR,且安全性可控,不影响手术切除。有必要开展进一步的前瞻性临床试验以明确新辅助化疗的益处并优化LS-SCLC治疗。

https://cdn.ncbi.nlm.nih.gov/pmc/blobs/d55c/12261241/19aa6a034094/tlcr-14-06-2031-f1.jpg

文献AI研究员

20分钟写一篇综述,助力文献阅读效率提升50倍。

立即体验

用中文搜PubMed

大模型驱动的PubMed中文搜索引擎

马上搜索

文档翻译

学术文献翻译模型,支持多种主流文档格式。

立即体验