Suppr超能文献

杜氏肌营养不良症的真实世界中吗啉代磷酰胺寡聚物治疗模式:基于索赔的分析

Real-world phosphorodiamidate morpholino oligomer treatment patterns in Duchenne muscular dystrophy: a claims-based analysis.

作者信息

Grabich Shannon, Ung Brian, Nadkar Aalok, DeYoung Kathryn, Signorovitch James, Veerapandiyan Aravindhan

机构信息

Sarepta Therapeutics, Inc, Cambridge, MA 02142 USA.

Analysis Group, Inc, Boston, MA 02199, USA.

出版信息

J Comp Eff Res. 2025 Aug;14(8):e250037. doi: 10.57264/cer-2025-0037. Epub 2025 Jul 18.

Abstract

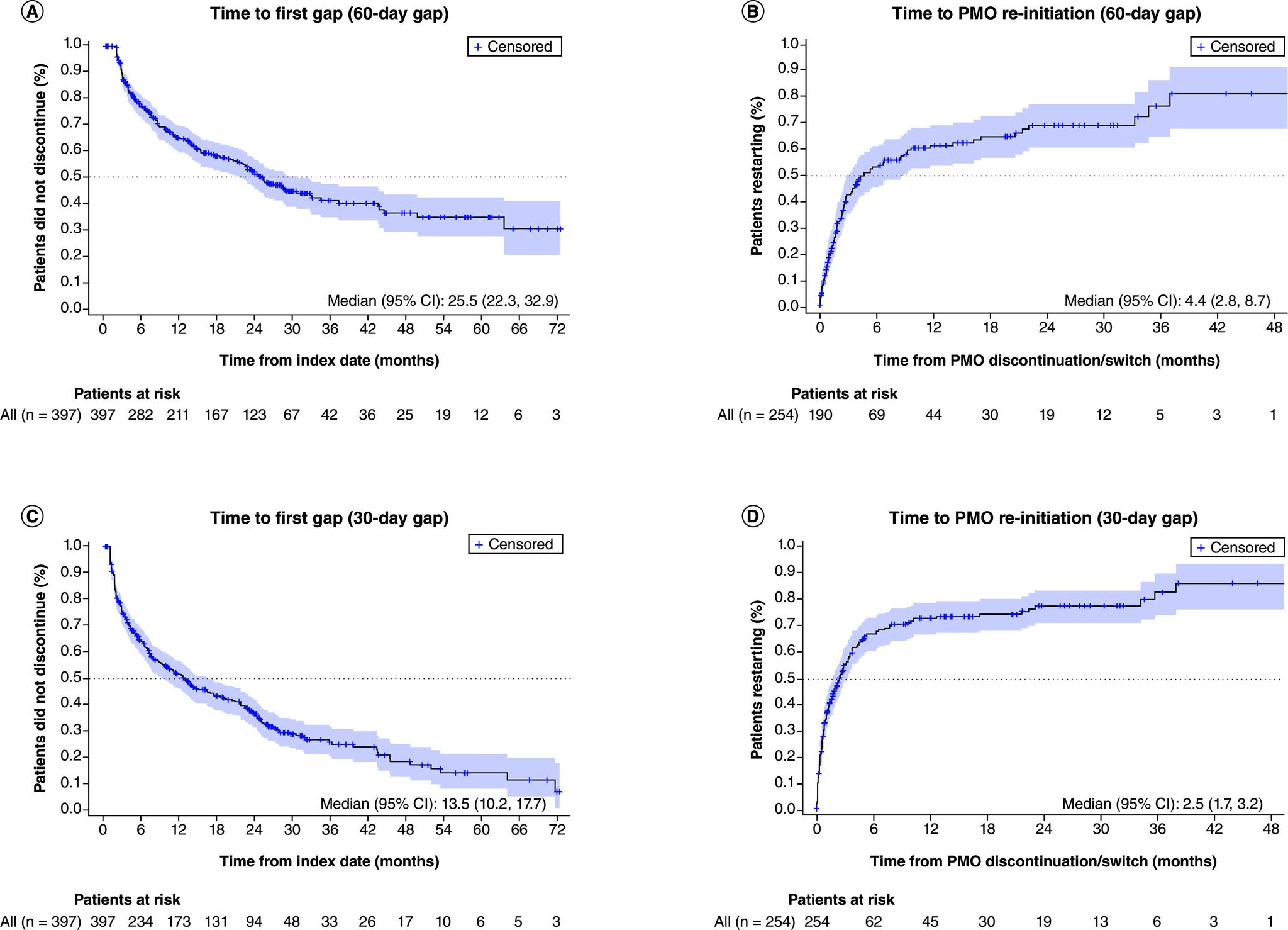
Phosphorodiamidate morpholino oligomers (PMOs) are exon-skipping therapies administered through once-weekly intravenous infusions used to treat Duchenne muscular dystrophy (DMD). This study assessed treatment patterns among patients with DMD receiving PMOs using administrative claims data while accounting for limitations in claims data for these therapies. This study used Inovalon public and private closed claims data (1 June 2016-31 March 2024). Male patients with ≥1 claim for a PMO approved for DMD in the US (eteplirsen, casimersen, golodirsen and viltolarsen) were included. Index date was the first PMO claim. All available follow-up data were used to assess continuous PMO claims coverage, ≥60-day and ≥30-day gaps in PMO claims and PMO re-initiation after a gap. Adherence during 1 year after index was measured using proportion of days covered (PDC). Treatment patterns were also assessed in patients stratified by baseline algorithm-defined nonambulatory status (inferred from claims). Among 397 patients included, median (IQR) follow-up time was 788 (484, 1109) days. Gaps in PMO claims coverage occurred in 190 (47.9%) and 254 (64.0%) patients using ≥60-day and ≥30-day gaps, respectively, among whom 110 (57.9%) and 176 (69.3%) had PMO re-initiation. Using ≥60-day and ≥30-day gap lengths, median (IQR) time to first gap in PMO claims was 25.5 (22.3, 32.9) months and 13.5 (10.2, 17.7) months, respectively and median (IQR) time to PMO re-initiation (not including gap time) was 4.4 (2.8, 8.7) months and 2.5 (1.7, 3.2) months. Median (IQR) PDC was 78.8% (38.8, 94.0) during 1 year after index. PMO treatment patterns were generally similar in patients stratified by algorithm-defined nonambulatory status. In an analysis of administrative claims data, adherence to PMO treatment for DMD was high. For patients with a gap in PMO claims, most subsequently re-initiated treatment, indicating lower discontinuation rates than previously reported.

摘要

磷二酰胺吗啉代寡聚物(PMO)是一种外显子跳跃疗法,通过每周一次的静脉输注给药,用于治疗杜氏肌营养不良症(DMD)。本研究利用行政索赔数据评估了接受PMO治疗的DMD患者的治疗模式,同时考虑了这些疗法索赔数据的局限性。本研究使用了Inovalon的公共和私人封闭索赔数据(2016年6月1日至2024年3月31日)。纳入了在美国有≥1次PMO(依替普利生、卡西莫生、戈洛迪生和维托拉生)获批用于DMD索赔的男性患者。索引日期为首次PMO索赔日期。所有可用的随访数据均用于评估PMO索赔的持续覆盖情况、PMO索赔中≥60天和≥30天的间隔以及间隔后的PMO重新开始治疗情况。索引日期后1年内的依从性使用覆盖天数比例(PDC)进行测量。还对根据基线算法定义的非行走状态(从索赔中推断)分层的患者的治疗模式进行了评估。在纳入的397例患者中,中位(IQR)随访时间为788(484,1109)天。分别有190例(47.9%)和254例(64.0%)患者出现PMO索赔覆盖间隔,其中110例(57.9%)和176例(69.3%)重新开始了PMO治疗。使用≥60天和≥30天的间隔时长,PMO索赔首次间隔的中位(IQR)时间分别为25.5(22.3,32.9)个月和13.5(10.2,17.7)个月,PMO重新开始治疗(不包括间隔时间)的中位(IQR)时间分别为4.4(2.8,8.7)个月和2.5(1.7,3.2)个月。索引日期后1年内的中位(IQR)PDC为78.8%(38.8,94.0)。根据算法定义的非行走状态分层的患者中,PMO治疗模式总体相似。在对行政索赔数据的分析中,DMD患者对PMO治疗的依从性较高。对于PMO索赔有间隔的患者,大多数随后重新开始治疗,表明停药率低于先前报告。

https://cdn.ncbi.nlm.nih.gov/pmc/blobs/5f97/12308544/f52584d64d2d/cer-14-250037-g1.jpg

文献AI研究员

20分钟写一篇综述,助力文献阅读效率提升50倍。

立即体验

用中文搜PubMed

大模型驱动的PubMed中文搜索引擎

马上搜索

文档翻译

学术文献翻译模型,支持多种主流文档格式。

立即体验