Suppr超能文献

抗肥胖药物治疗停药后体重的变化轨迹。

Trajectory of the body weight after drug discontinuation in the treatment of anti-obesity medications.

作者信息

Wu Han, Yang Wenjia, Guo Tong, Cai Xiaoling, Ji Linong

机构信息

Department of Endocrinology and Metabolism, Peking University People's Hospital, No. 11, Xizhimen South Street, Xicheng District, Beijing, 100044, People's Republic of China.

出版信息

BMC Med. 2025 Jul 22;23(1):398. doi: 10.1186/s12916-025-04200-0.

Abstract

BACKGROUND

Globally, obesity has emerged as a significant public health concern, imposing detrimental impacts on human health. The purpose of our study was to explore the long-term effects of anti-obesity medications (AOMs) on body weight and to draw the trajectory of weight change after discontinuation of AOMs.

METHODS

PubMed, Medline, Embase, the Cochrane Center Register of Controlled Trials for Studies, and Clinicaltrials.gov were searched from the inception to March 2024. Randomized controlled trials of AOMs conducted in population for at least 4 weeks and followed for 4 or more weeks after discontinuation were included. Weight change during treatment and after drug discontinuation was also reported. Random-effect model and meta-regression analysis were accordingly used.

RESULTS

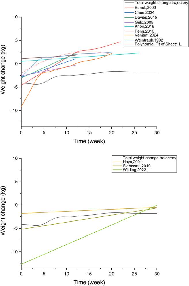
At week 4 after discontinuation, compared with the control group, AOM treatment still had weight loss effect (WMD =  - 0.32 kg, 95% CI - 3.60-2.97, P = 0.85, I = 83%). At 8 weeks after drug discontinuation, AOMs were associated with significant weight regain compared with the control group (WMD = 1.50 kg, 95% CI 1.32-1.68, P < 0.0001, I = 0.0%). The weight regain trend remained at 12 and 20 weeks (WMD = 1.76 kg, 95% CI 1.29-2.24, P < 0.0001, I = 72.0%; WMD = 2.50 kg, 95% CI 2.27-2.73, P < 0.0001, I = 0.0%). Among the different subgroups of AOMs, significant weight regain after 12 weeks of drug discontinuation was observed only in studies with glucagon-like peptide 1 receptor agonist (GLP-1 RA) related drugs. In addition, studies in which weight loss was greater during treatment than in the control group and studies in which lifestyle interventions were continued observed significant weight gain after drug discontinuation.

CONCLUSION

Significant weight regain occurred 8 weeks after discontinuation of AOMs and was sustained through 20 weeks. Different weight regain was observed in subjects with different characteristics. Studies with longer follow-up duration are required to further investigate the potential factors associated with weight change after discontinuation of treatment.

摘要

背景

在全球范围内,肥胖已成为一个重大的公共卫生问题,对人类健康产生不利影响。我们研究的目的是探讨抗肥胖药物(AOMs)对体重的长期影响,并描绘停用AOMs后体重变化的轨迹。

方法

检索了从开始到2024年3月的PubMed、Medline、Embase、Cochrane对照试验中心注册库以及Clinicaltrials.gov。纳入了在人群中进行的至少4周的AOMs随机对照试验,并在停药后随访4周或更长时间。还报告了治疗期间和停药后的体重变化。相应地使用了随机效应模型和meta回归分析。

结果

停药后第4周,与对照组相比,AOM治疗仍有减重效果(加权均数差[WMD]= -0.32 kg,95%可信区间[CI]-3.60 - 2.97,P = 0.85,I² = 83%)。停药后8周,与对照组相比,AOMs与显著的体重反弹相关(WMD = 1.50 kg,95% CI 1.32 - 1.68,P < 0.0001,I² = 0.0%)。体重反弹趋势在12周和20周时仍然存在(WMD = 1.76 kg,95% CI 1.29 - 2.24,P < 0.0001,I² = 72.0%;WMD = 2.50 kg,95% CI 2.27 - 2.73,P < 0.0001,I² = 0.0%)。在AOMs的不同亚组中,仅在使用胰高血糖素样肽1受体激动剂(GLP - 1 RA)相关药物的研究中观察到停药12周后有显著的体重反弹。此外,治疗期间体重减轻比对照组更多的研究以及继续进行生活方式干预的研究在停药后观察到显著的体重增加。

结论

停用AOMs后8周出现显著的体重反弹,并持续到20周。在具有不同特征的受试者中观察到不同的体重反弹情况。需要进行更长随访期的研究,以进一步调查与停药后体重变化相关的潜在因素。

https://cdn.ncbi.nlm.nih.gov/pmc/blobs/7ae6/12281790/be0d265a7c0e/12916_2025_4200_Fig1_HTML.jpg

文献AI研究员

20分钟写一篇综述,助力文献阅读效率提升50倍。

立即体验

用中文搜PubMed

大模型驱动的PubMed中文搜索引擎

马上搜索

文档翻译

学术文献翻译模型,支持多种主流文档格式。

立即体验