Suppr超能文献

意大利住院患者中耐碳青霉烯类革兰阴性菌:一项为期五年的监测

Carbapenem-Resistant Gram-Negative Bacteria in Hospitalized Patients: A Five-Year Surveillance in Italy.

作者信息

Guido Marcello, Zizza Antonella, Sedile Raffaella, Nuzzo Milva, Lupo Laura Isabella, Grima Pierfrancesco

机构信息

Laboratory of Hygiene, Department of Biological and Environmental Sciences and Technologies, University of Salento, 73100 Lecce, Italy.

Institute of Clinical Physiology, National Research Council, 73100 Lecce, Italy.

出版信息

Infect Dis Rep. 2025 Jul 2;17(4):76. doi: 10.3390/idr17040076.

Abstract

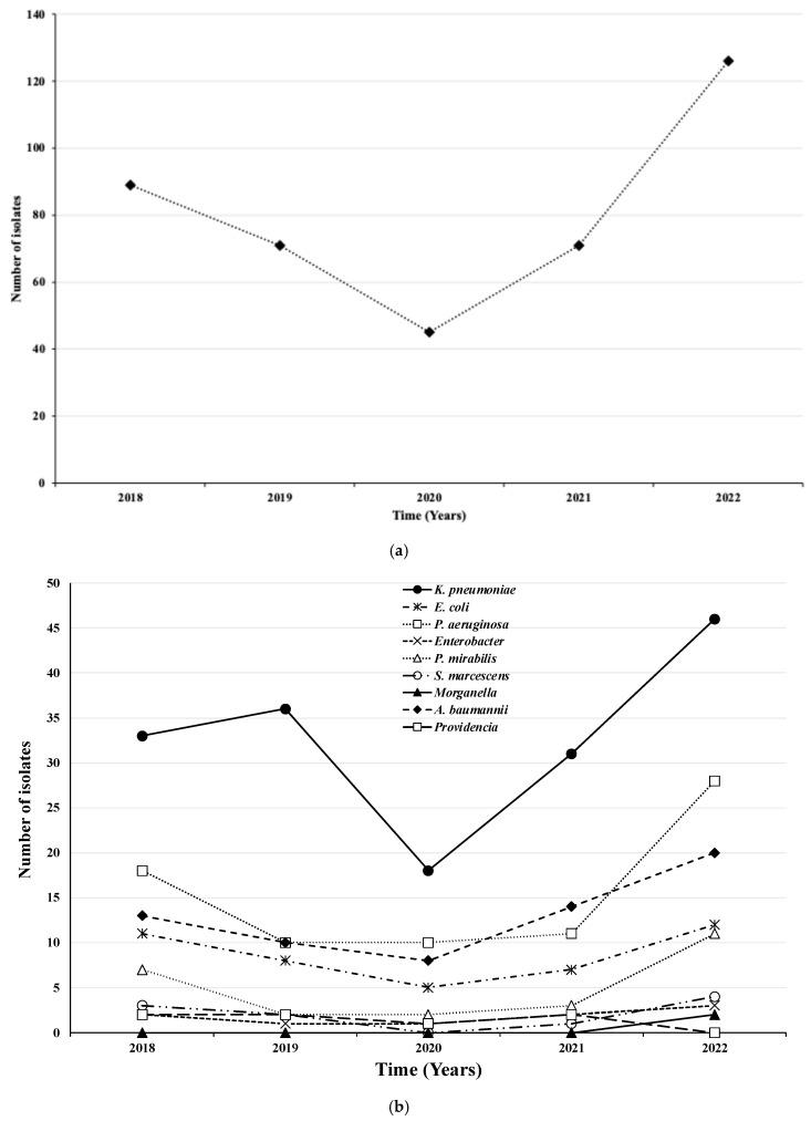
: Antibiotic resistance is a significant and escalating challenge that limits available therapeutic options. This issue is further exacerbated by the decreasing number of new antibiotics being developed. Our study aims to describe the epidemiology and pattern of antibiotic resistance in Gram-negative infections isolated from a cohort of hospitalized patients and to analyze the distribution of infections within the hospital setting. : A retrospective study was conducted on all patients admitted to Vito Fazzi Hospital in Lecce, Italy, who required an infectious disease consultation due to the isolation of Gram-negative bacteria from 1 January 2018 to 31 December 2022. : During the study period, 402 isolates obtained from 382 patients (240 men and 142 women) with infections caused by Gram-negative bacteria were identified. Among these isolated, 226 exhibited multidrug resistance, defined as resistance to at least one antimicrobial agent from three or more different classes. In 2018, the percentage of multidrug-resistant isolates peaked at 87.6%, before decreasing to the lowest level (66.2%) in 2021. Overall, of the 402 isolates, 154 (38.3%) displayed resistance to carbapenems, while 73 (18.1%) were resistant to extended-spectrum beta-lactamases (ESBLs). Among the resistant microorganisms, showed the highest resistance to carbapenems, accounting for 85.2% of all resistant strains. exhibited the greatest resistance to ESBLs, with a rate of 86.7%. Among carbapenem-resistant isolates, the following resistance rates were observed: KPC-1 at 98.2%, IMP-1 at 0.9%, VIM-1 at 0.9%, and NDM-1 at 0.9%. : Patients with infections caused by multidrug-resistant bacteria have limited treatment options and are therefore at an increased risk of death, complications, and longer hospital stays. Rapid diagnostic techniques and antimicrobial stewardship programs-especially for ESBLs and carbapenemases-can significantly shorten the time needed to identify the infection and initiate appropriate antimicrobial therapy compared to traditional methods. Additionally, enhancing surveillance of antimicrobial resistance within populations is crucial to address this emerging public health challenge.

摘要

抗生素耐药性是一个重大且不断升级的挑战,它限制了可用的治疗选择。新抗生素研发数量的减少进一步加剧了这一问题。我们的研究旨在描述从一组住院患者中分离出的革兰氏阴性菌感染中抗生素耐药性的流行病学和模式,并分析医院环境中感染的分布情况。

对意大利莱切市维托·法齐医院收治的所有患者进行了一项回顾性研究,这些患者因在2018年1月1日至2022年12月31日期间分离出革兰氏阴性菌而需要感染病会诊。

在研究期间,从382名(240名男性和142名女性)因革兰氏阴性菌感染的患者中鉴定出402株分离菌。在这些分离菌中,226株表现出多重耐药性,多重耐药性定义为对至少三种或更多不同类别的抗菌药物耐药。2018年,多重耐药分离菌的百分比达到峰值87.6%,随后在2021年降至最低水平(66.2%)。总体而言,在402株分离菌中,154株(38.3%)对碳青霉烯类耐药,而73株(18.1%)对超广谱β-内酰胺酶(ESBLs)耐药。在耐药微生物中,对碳青霉烯类耐药性最高,占所有耐药菌株的85.2%。对ESBLs耐药性最强,耐药率为86.7%。在耐碳青霉烯类分离菌中,观察到以下耐药率:KPC-1为98.2%,IMP-1为0.9%,VIM-1为0.9%,NDM-1为0.9%。

多重耐药菌感染的患者治疗选择有限,因此死亡、并发症风险增加,住院时间延长。与传统方法相比,快速诊断技术和抗菌药物管理计划——尤其是针对ESBLs和碳青霉烯酶的——可以显著缩短识别感染并开始适当抗菌治疗所需的时间。此外,加强人群中抗菌药物耐药性的监测对于应对这一新兴的公共卫生挑战至关重要。

https://cdn.ncbi.nlm.nih.gov/pmc/blobs/c19b/12285967/b7c9ff2db94b/idr-17-00076-g001.jpg

文献AI研究员

20分钟写一篇综述,助力文献阅读效率提升50倍。

立即体验

用中文搜PubMed

大模型驱动的PubMed中文搜索引擎

马上搜索

文档翻译

学术文献翻译模型,支持多种主流文档格式。

立即体验