Suppr超能文献

基于非增强磁共振成像的深度学习辅助肝脏肿瘤诊断:一项多中心研究

Deep learning-assisted diagnosis of liver tumors using non-contrast magnetic resonance imaging: a multicenter study.

作者信息

Zhen Shihui, Zhang Peng, Huang Hanxiao, Jiang Zhiyu, Jiang Yankai, Sun Jihong, Zhang Liqing, Ruan Mei, Chen Qingqing, Wang Yujun, Tao Yubo, Luo Weizhi, Cheng Ming, Qi Zhetuo, Lu Wei, Lin Hai, Cai Xiujun

机构信息

Department of Surgical Oncology, Sir Run Run Shaw Hospital, School of Medicine, Zhejiang University, Hangzhou, Zhejiang, China.

Department of General Surgery, Sir Run Run Shaw Hospital, School of Medicine, Zhejiang University, Hangzhou, Zhejiang, China.

出版信息

Front Oncol. 2025 Jul 10;15:1582322. doi: 10.3389/fonc.2025.1582322. eCollection 2025.

Abstract

OBJECTIVES

Non-contrast MRI(NC-MRI) is an attractive option for liver tumors screening and follow-up. This study aims to develop and validate a deep convolutional neural network for the classification of liver lesions using non-contrast MRI.

METHODS

A total of 50418 enhanced MRI images from 1959 liver tumor patients across three centers were included. Inception-ResNet V2 was used to generate four models through transfer-learning for three-way lesion classification, which processed T2-weighted, diffusion-weighted (DWI) and multiphasic T1-weighted images. The models were then validated using one independent internal and two external datasets with 5172, 2916, and 1338 images, respectively. The efficacy of non-contrast models (T2,T2+DWI) in differentiating between benign and malignant liver lesions at the patient level was also evaluated and compared with radiologists. The performance of models was evaluated using the area under the receiver operating characteristic curve (AUC),sensitivity and specificity.

RESULTS

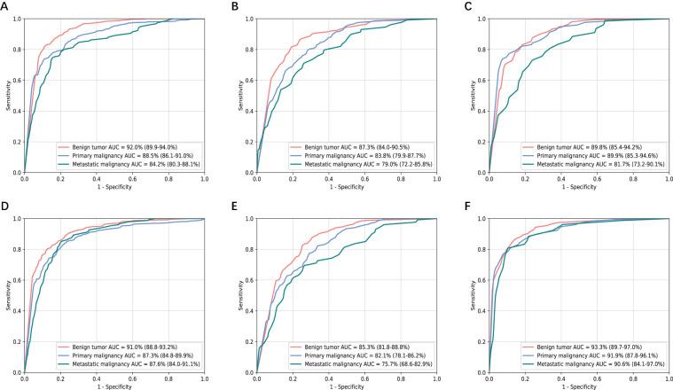
Similar to multi-sequence and enhanced image-based models, the non-contrast models showed comparable accuracy in classifying liver lesions as benign, primary malignant or metastatic. In the independent internal cohort, the T2+DWI model achieved AUC of 0.91(95% CI,0.888-0.932), 0.873(0.848-0.899), and 0.876(0.840-0.911) for three tumour categories, respectively. The sensitivities for distinguishing malignant tumors in three validation sets were 98.1%, 89.7%, and 87.5%%, with specificities over 70% in all three sets.

CONCLUSIONS

Our deep-learning-based model yielded good applicability in classifying liver lesions in non-contrast MRI. It provides a potential alternative for screening liver tumors with the advantage of reducing costs, scanning time and contrast-agents risks. It is more suitable for benign tumours follow-up, surveillance of HCC and liver metastasis that need periodic repetitive examinations.

摘要

目的

非增强磁共振成像(NC-MRI)是肝脏肿瘤筛查和随访的一个有吸引力的选择。本研究旨在开发并验证一种用于使用非增强MRI对肝脏病变进行分类的深度卷积神经网络。

方法

纳入了来自三个中心的1959例肝脏肿瘤患者的总共50418张增强MRI图像。使用Inception-ResNet V2通过迁移学习生成四个模型用于三分类病变分类,这些模型处理T2加权、扩散加权(DWI)和多期T1加权图像。然后分别使用一个独立的内部数据集和两个外部数据集(分别有5172、2916和1338张图像)对模型进行验证。还评估了非增强模型(T2、T2 + DWI)在患者层面区分肝脏良性和恶性病变的效能,并与放射科医生进行比较。使用受试者工作特征曲线下面积(AUC)、敏感性和特异性评估模型的性能。

结果

与基于多序列和增强图像的模型类似,非增强模型在将肝脏病变分类为良性、原发性恶性或转移性方面显示出相当的准确性。在独立的内部队列中,T2 + DWI模型对三类肿瘤的AUC分别为0.91(95%CI,0.888 - 0.932)、0.873(0.848 - 0.899)和0.876(0.840 - 0.911)。在三个验证集中区分恶性肿瘤的敏感性分别为98.1%、89.7%和87.5%,所有三个集中的特异性均超过70%。

结论

我们基于深度学习的模型在非增强MRI肝脏病变分类中具有良好的适用性。它为肝脏肿瘤筛查提供了一种潜在的替代方法,具有降低成本、扫描时间和造影剂风险优势。它更适合于需要定期重复检查的良性肿瘤随访、肝癌和肝转移的监测。

https://cdn.ncbi.nlm.nih.gov/pmc/blobs/f939/12287020/7b2f21466b91/fonc-15-1582322-g001.jpg

文献AI研究员

20分钟写一篇综述,助力文献阅读效率提升50倍。

立即体验

用中文搜PubMed

大模型驱动的PubMed中文搜索引擎

马上搜索

文档翻译

学术文献翻译模型,支持多种主流文档格式。

立即体验