Suppr超能文献

针对非裔美国吸烟者肺癌风险的特定血统假设性基因反馈:对戒烟的认知、情感和动机影响

Ancestry-Specific Hypothetical Genetic Feedback About Lung Cancer Risk in African American Individuals Who Smoke: Cognitive, Emotional, and Motivational Effects on Cessation.

作者信息

Erblich Joel, Htet Khin, Ragin Camille, Blackman Elizabeth, Lipkus Isaac, Erkmen Cherie, Bitterman Dina

机构信息

Department of Psychology, Hunter College, City University of New York, New York, NY 10065, USA.

Cancer Prevention and Control Program, Fox Chase Cancer Center, Philadelphia, PA 19111, USA.

出版信息

Behav Sci (Basel). 2025 Jul 19;15(7):980. doi: 10.3390/bs15070980.

Abstract

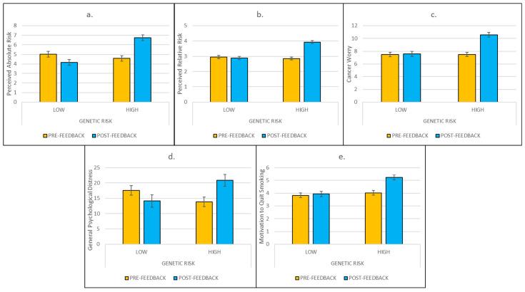
Genetic factors play an important role in the risk of developing lung cancer, a disease that disproportionately affects African American (AA) individuals who smoke. Accumulating evidence suggests that specific ancestry-informative genetic markers are predictive of lung cancer risk in AA individuals who smoke. Although testing for, and communication of, genetic risk to patients should impact health and screening, results are mixed. The goal of this study was to evaluate the effects of genetic risk communication that also included ancestry-specific risk information among African American individuals who smoke. Using an experimental design, African American individuals who smoke (n = 166) were assigned randomly to receive hypothetical genetic test results that indicated (1) low vs. high genetic risk for lung cancer ("Risk") and (2) European vs. African Ancestry ("Ancestry"). We hypothesized that participants who had been told that they were both at high risk for lung cancer based on genetic markers prominent in African persons at risk of lung cancer, and that they have African ancestry, would exhibit increases in cognitive (perceived lung cancer risk), emotional (cancer worry and psychological distress), and motivational (motivation to quit smoking) factors shown to predict longer-term health behavior change. Results revealed significant and moderate-to-large effects of Risk for all outcomes. There was also a significant Ancestry effect on perceived lung cancer risk: increased risk perceptions among participants who learned that they have high African genetic heritage. Path analytic modeling revealed that cognitive and emotional factors mediated the effects of both Risk and Ancestry feedback on motivation to quit smoking. Findings further highlight the importance of incorporating ancestry-specific genetic risk information into genetic counseling sessions, especially in underserved populations, as doing so may impact key cognitive, emotional, and motivational factors critical to behavior change.

摘要

遗传因素在肺癌发病风险中起着重要作用,肺癌对吸烟的非裔美国人(AA)影响尤为严重。越来越多的证据表明,特定的祖先信息遗传标记可预测吸烟的非裔美国人患肺癌的风险。尽管对患者进行遗传风险检测及告知结果应会影响健康和筛查,但结果却参差不齐。本研究的目的是评估在吸烟的非裔美国人中进行遗传风险告知(其中还包括特定祖先的风险信息)的效果。采用实验设计,将吸烟的非裔美国人(n = 166)随机分配,使其收到假设的基因检测结果,结果显示(1)肺癌的低遗传风险与高遗传风险(“风险”),以及(2)欧洲血统与非洲血统(“血统”)。我们假设,那些被告知基于在有患肺癌风险的非洲人中突出的遗传标记,他们患肺癌风险高,且具有非洲血统的参与者,在认知(感知到的肺癌风险)、情绪(癌症担忧和心理困扰)和动机(戒烟动机)等因素方面会有所增加,这些因素已被证明可预测长期的健康行为改变。结果显示,风险对所有结果都有显著且中等到较大的影响。血统对感知到的肺癌风险也有显著影响:了解到自己有高非洲遗传血统的参与者的风险认知增加。路径分析模型显示,认知和情绪因素介导了风险和血统反馈对戒烟动机的影响。研究结果进一步凸显了将特定祖先的遗传风险信息纳入遗传咨询环节的重要性,尤其是在服务不足的人群中,因为这样做可能会影响对行为改变至关重要的关键认知、情绪和动机因素。

https://cdn.ncbi.nlm.nih.gov/pmc/blobs/8e2e/12292851/b2330b84dd6e/behavsci-15-00980-g001.jpg

文献AI研究员

20分钟写一篇综述,助力文献阅读效率提升50倍。

立即体验

用中文搜PubMed

大模型驱动的PubMed中文搜索引擎

马上搜索

文档翻译

学术文献翻译模型,支持多种主流文档格式。

立即体验