Suppr超能文献

抗突变剂和突变谱效应可共同降低大肠杆菌ΔnudJ的进化潜力。

Antimutator and Mutational Spectrum Effects Can Combine to Reduce Evolutionary Potential in Escherichia coli ΔnudJ.

作者信息

Green Rowan, Richards Huw, Ozbilek Deniz, Tyrrell Francesca, Barton Victoria, Zhang Ziang, Lovell Simon C, Gifford Danna R, Lagator Mato, McBain Andrew J, Krašovec Rok, Knight Christopher G

机构信息

School of Natural Sciences, Faculty of Science and Engineering, University of Manchester, Manchester, UK.

Department of Zoology, Faculty of Science, University of British Columbia, Vancouver, Canada.

出版信息

Mol Biol Evol. 2025 Jul 30;42(8). doi: 10.1093/molbev/msaf182.

Abstract

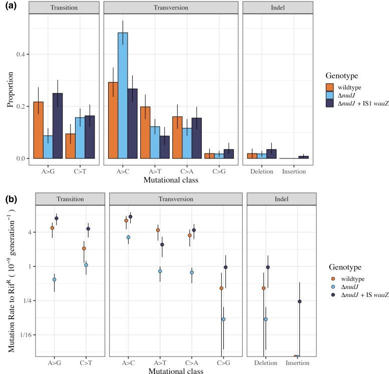
The rate of spontaneous mutation is a key factor in determining the capacity of a population to adapt to a novel environment, for example, a bacterial population exposed to antibiotics. Genetic and environmental factors controlling the mutation rate commonly also cause shifts in the relative rates of different mutational classes, i.e. the mutational spectrum. When the mutational spectrum is altered, the relatively enriched and depleted mutations may differ in their fitness effects. Here, we explore how a reduced mutation rate and altered mutational spectrum can contribute to adaptation in Escherichia coli. We measure mutation rates across a set of Nudix hydrolase deletants, finding multiple strains with an antimutator phenotype. We focus on the antimutator ΔnudJ, which can cause a 6-fold mutation rate reduction relative to the wildtype, with an altered mutational spectrum biased towards A > C transversions. Its reduced mutation rate, most pronounced at low population densities, appears to occur via NudJ's role in nucleotide and/or prenyl metabolism, with a reduced internal ATP pool. Its effects may be reversed by mutations to genes, including waaZ, affecting the outer membrane. Not only does nudJ deletion reduce the probability of antibiotic resistance arising at all but through enhancing an existing hotspot for low fitness A > C rifampicin resistance mutations reduces the expected fitness of strains when resistance does arise. Thus, our findings with ΔnudJ suggest future anti-evolution drug strategies could suppress spontaneous resistance evolution not only through minimizing resistance mutations but also by specifically limiting access to the fittest mutations.

摘要

自发突变率是决定种群适应新环境能力的关键因素,例如,暴露于抗生素的细菌种群。控制突变率的遗传和环境因素通常也会导致不同突变类别相对速率的变化,即突变谱。当突变谱发生改变时,相对富集和缺失的突变在其适应性效应上可能会有所不同。在这里,我们探讨了降低的突变率和改变的突变谱如何有助于大肠杆菌的适应性。我们测量了一组Nudix水解酶缺失突变体的突变率,发现了多个具有抗突变表型的菌株。我们重点研究了抗突变体ΔnudJ,它相对于野生型可导致突变率降低6倍,突变谱发生改变,偏向于A > C颠换。其降低的突变率在低种群密度时最为明显,似乎是通过NudJ在核苷酸和/或异戊二烯代谢中的作用发生的,伴随着内部ATP池的减少。其效应可能会被包括waaZ在内的影响外膜的基因突变所逆转。不仅nudJ缺失降低了产生抗生素抗性的概率,而且通过增强现有的低适应性A > C利福平抗性突变热点,降低了抗性产生时菌株的预期适应性。因此,我们对ΔnudJ的研究结果表明,未来的抗进化药物策略不仅可以通过最小化抗性突变来抑制自发抗性进化,还可以通过特别限制获得最适应突变的途径来实现。

https://cdn.ncbi.nlm.nih.gov/pmc/blobs/c598/12359138/67fd3186b903/msaf182f1.jpg

文献AI研究员

20分钟写一篇综述,助力文献阅读效率提升50倍。

立即体验

用中文搜PubMed

大模型驱动的PubMed中文搜索引擎

马上搜索

文档翻译

学术文献翻译模型,支持多种主流文档格式。

立即体验