Suppr超能文献

个体宿主因素和共感染会影响奶牛体内寄生虫感染的概率和排泄强度。

Individual host factors and co-infections affect the probability and excretion intensity of endoparasite infections in dairy cows.

作者信息

Hecker Anna Sophie, Raulf Marie-Kristin, König Sven, May Katharina, Strube Christina

机构信息

Institute for Parasitology, Centre for Infection Medicine, University of Veterinary Medicine Hannover, Hannover, Germany.

Institute of Animal Breeding and Genetics, Justus-Liebig-University Gießen, Gießen, Germany.

出版信息

Parasit Vectors. 2025 Jul 30;18(1):311. doi: 10.1186/s13071-025-06974-x.

Abstract

BACKGROUND

Endoparasite infections cause economic losses in dairy farming. Understanding the factors that influence endoparasite prevalence and egg/oocyst excretion is essential for effective parasite control. Environmental and management factors play an important role at herd level; however, factors related to the individual cow, such as the parity number or lactation stage, also contribute to infection. In addition, it is still unclear to what extent co-infections with other endoparasites influence prevalence and egg/oocyst excretion rates.

METHODS

Faecal samples from 1,126 cows from 24 dairy herds were copromicroscopically examined for endoparasite infections. Hurdle models were applied to test the effect of parity number, lactation stage and co-infections on the probability and intensity of egg/oocyst excretion of strongyles, Fasciola hepatica, rumen flukes and coccidia.

RESULTS

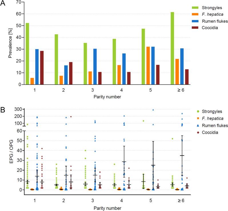
Strongyle eggs were present in all herds and 45.9% of individual cows, F. hepatica eggs in 75.0% of herds and 9.9% of cows, rumen fluke eggs in 62.5% of herds and 26.5% of cows and coccidian oocysts in 91.7% of herds and 18.7% of cows. Eggs of Moniezia spp., Trichuris spp. and Capillaria spp. were detected sporadically. Model analysis revealed that the probability of strongyle egg excretion decreased after the first parity, presumably as a result of developing immunity, yet an increase was observed after the fourth parity. With increasing parity number, excretion probability of F. hepatica and excretion intensity of rumen flukes increased. Coccidian oocysts excretion was highest in first-parity cows. The lactation stage affected strongyle egg excretion, with the highest probability in early lactation, possibly linked to the negative energy balance in this period. Strongyle co-infections increased the probability of coccidian oocyst excretion (P = 0.008), and coccidian co-infections increased both the probability (P = 0.011) and intensity (P = 0.007) of strongyle egg excretion. Furthermore, coccidian co-infections were associated with a decreased excretion intensity of rumen fluke eggs (P = 0.022).

CONCLUSIONS

The identification of age groups that are more susceptible to or more likely to spread certain endoparasite taxa and the synergism between strongyle egg and coccidian oocyst excretion can help to implement effective targeted monitoring and control strategies to optimise parasite management in dairy herds.

摘要

背景

内寄生虫感染会给奶牛养殖带来经济损失。了解影响内寄生虫流行率以及虫卵/卵囊排泄的因素对于有效控制寄生虫至关重要。环境和管理因素在畜群层面发挥重要作用;然而,与个体奶牛相关的因素,如胎次或泌乳阶段,也会导致感染。此外,与其他内寄生虫的共感染在多大程度上影响流行率和虫卵/卵囊排泄率仍不清楚。

方法

对来自24个奶牛群的1126头奶牛的粪便样本进行粪便显微镜检查,以检测内寄生虫感染情况。应用障碍模型来测试胎次、泌乳阶段和共感染对圆线虫、肝片吸虫、瘤胃吸虫和球虫的虫卵/卵囊排泄概率和强度的影响。

结果

所有畜群中均发现有圆线虫卵,45.9%的个体奶牛感染;75.0%的畜群和9.9%的奶牛感染肝片吸虫卵;62.5%的畜群和26.5%的奶牛感染瘤胃吸虫卵;91.7%的畜群和18.7%的奶牛感染球虫卵囊。偶尔检测到莫尼茨绦虫属、毛首线虫属和毛细线虫属的虫卵。模型分析表明,圆线虫卵排泄概率在第一胎后降低,可能是由于免疫力增强,但在第四胎后有所增加。随着胎次增加,肝片吸虫卵排泄概率和瘤胃吸虫卵排泄强度增加。球虫卵囊排泄在第一胎奶牛中最高。泌乳阶段影响圆线虫卵排泄,在泌乳早期概率最高,这可能与此期间的负能量平衡有关。圆线虫共感染增加了球虫卵囊排泄概率(P = = 0.008),球虫共感染增加了圆线虫卵排泄概率(P = = 0.011)和强度(P = = 0.007)。此外,球虫共感染与瘤胃吸虫卵排泄强度降低有关(P = = 0.022)。

结论

确定对某些内寄生虫类群更易感或更易传播的年龄组,以及圆线虫卵和球虫卵囊排泄之间的协同作用,有助于实施有效的针对性监测和控制策略,以优化奶牛群的寄生虫管理。

https://cdn.ncbi.nlm.nih.gov/pmc/blobs/6438/12309137/ac4f57a10ff8/13071_2025_6974_Fig1_HTML.jpg

文献AI研究员

20分钟写一篇综述,助力文献阅读效率提升50倍。

立即体验

用中文搜PubMed

大模型驱动的PubMed中文搜索引擎

马上搜索

文档翻译

学术文献翻译模型,支持多种主流文档格式。

立即体验